招生考试网
学历类| 阳光高考 研 究 生 自学考试 成人高考 专 升 本 中考会考   外语类| 四 六 级 职称英语 商务英语 公共英语 日语能力
资格类| 公 务 员 报 关 员 银行从业 司法考试 导 游 证 教师资格   财会类| 会 计 证 经 济 师 会计职称 注册会计 税 务 师
工程类| 一级建造 二级建造 造 价 师 造 价 员 咨 询 师 监 理 师   医学类| 卫生资格 执业医师 执业药师 执业护士 国际护士
计算机| 等级考试 软件水平 应用能力 其它类| 书画等级 美国高考 驾 驶 员 书法等级 少儿英语 报 检 员 单 证 员 出国留学
 招生考试网 - 公务员考试 - 公务员辅导 - 公务员行测辅导 - 正文

 
公务员考试行测数量关系题解题技巧:整体消去法
来源:2exam.com 2010-5-4 编辑:zhoupanyu 【字体:小 大】
核心提示:所谓“整体消去法”,指在计算中,将相近的数化为相同,从而作为一个整体进行抵消的方法。

 

   核心提示:所谓“整体消去法”,指在计算中,将相近的数化为相同,从而作为一个整体进行抵消的方法。


  【例1】191919÷373737×185=( A )【2008年江苏省公务员录用考试行政职业能力测验C类卷-12题】

   A.95    B.123    C.135    D.151

  【解析】原式=19×10101÷(37×10101)×185=19×185÷37=95,选A。


  【例2】3434×350-35350×34的值是?( D )【2006年江苏省公务员录用考试行政职业能力测验B类卷-66题】

  A.35    B.34    C.1    D.0

  【解析】原式=34×101×35×10-35×1010×34=(34×1010×35)-(35×1010×34)=0


   【例3】计算:(0.34×2400×0.25+3× +26.25÷ +8的值为()【2008年江苏省公务员录用考试行政职业能力测验B类卷-72题】

  A.1768    B.812    C.1919    D.238

  【解析】原式=( ×2400× +3× ×3)× +8= (34×24+3×15+3×105)× +8= × (34×24+3×120)×13+8=147×13+8

  由147×13的尾数为1,故147×13+8的尾数为9,因此本题的答案为C。


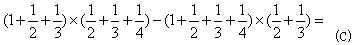
  【例4】【江西2008-36】 

       

  


 

看了这篇文章的网友还关注以下文章

 
网站版权与免责声明
①由于各方面情况的不断调整与变化,本网所提供的相关信息请以权威部门公布的正式信息为准.
②本网转载的文/图等稿件出于非商业性目的,如转载稿涉及版权等问题,请在两周内来电联系.
最新文章
热门文章