招生考试网
学历类| 阳光高考 研 究 生 自学考试 成人高考 专 升 本 中考会考   外语类| 四 六 级 职称英语 商务英语 公共英语 日语能力
资格类| 公 务 员 报 关 员 银行从业 司法考试 导 游 证 教师资格   财会类| 会 计 证 经 济 师 会计职称 注册会计 税 务 师
工程类| 一级建造 二级建造 造 价 师 造 价 员 咨 询 师 监 理 师   医学类| 卫生资格 执业医师 执业药师 执业护士 国际护士
计算机| 等级考试 软件水平 应用能力 其它类| 书画等级 美国高考 驾 驶 员 书法等级 少儿英语 报 检 员 单 证 员 出国留学
 招生考试网 - 公务员考试 - 公务员辅导 - 公务员行测辅导 - 正文

 
公务员考试行测资料分析题练习与解答(5月26日)
来源:2exam.com 2010-5-26 编辑:zhoupanyu 【字体:小 大】
公务员考试行测资料分析题练习与解答

 

 


  【解析】


  1.D。  


  2.C。30867/(1+20%)≈25723。


  3.D。直接观察即可。


  4.C。将图填完整即可发现规律。


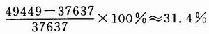
  5.A。(20+21.9+31.4)/3≈24.3,2005-2007年的税收增长平均速度为24.3%,2008年的税收收入大约是49449×(1+24.3%)≈61465(亿元)。


 

看了这篇文章的网友还关注以下文章

 
网站版权与免责声明
①由于各方面情况的不断调整与变化,本网所提供的相关信息请以权威部门公布的正式信息为准.
②本网转载的文/图等稿件出于非商业性目的,如转载稿涉及版权等问题,请在两周内来电联系.
最新文章
推荐文章
热门文章