|
原等级 |
1 |
2 |
3 |
4 |
5 |
6 |
7 |
8 |
9 |
10 |
11 |
|
原等级赋分 |
100 |
97 |
94 |
91 |
88 |
85 |
82 |
79 |
76 |
73 |
70 |
|
人数比例(%) |
1 |
2 |
3 |
4 |
5 |
6 |
7 |
8 |
7 |
7 |
7 |
|
现等级赋分 |
100-97 |
96-94 |
93-91 |
90-88 |
87-85 |
84-82 |
81-79 |
78-76 |
75-73 |
72-70 | |
|
原等级 |
12 |
13 |
14 |
15 |
16 |
17 |
18 |
19 |
20 |
21 |
|
原等级赋分 |
67 |
64 |
61 |
58 |
55 |
52 |
49 |
46 |
43 |
40 |
|
人数比例(%) |
7 |
7 |
7 |
6 |
5 |
4 |
3 |
2 |
1 |
1 |
|
现等级赋分 |
69-67 |
66-64 |
63-61 |
60-58 |
57-55 |
54-52 |
51-49 |
48-46 |
45-43 |
42-40 |
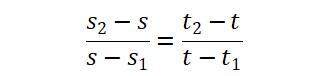
具体步骤为:
第一步,将卷面得分按人数比例划分为20个赋分区间,得出每个区间卷面得分的上限、下限。
第二步,对每个区间的卷面得分进行等比例转换,公式为:


免责声明:以上内容仅代表原创者观点,其内容未经本站证实,本网对以上内容的真实性、完整性不作任何保证或承诺,转载目的在于传递更多信息,由此产生的后果与本网无关;如以上转载内容不慎侵犯了您的权益,请联系我们fjksw@163.com,我们将会及时处理。