3773考试网 - 考研 - 复试分数线 - 正文

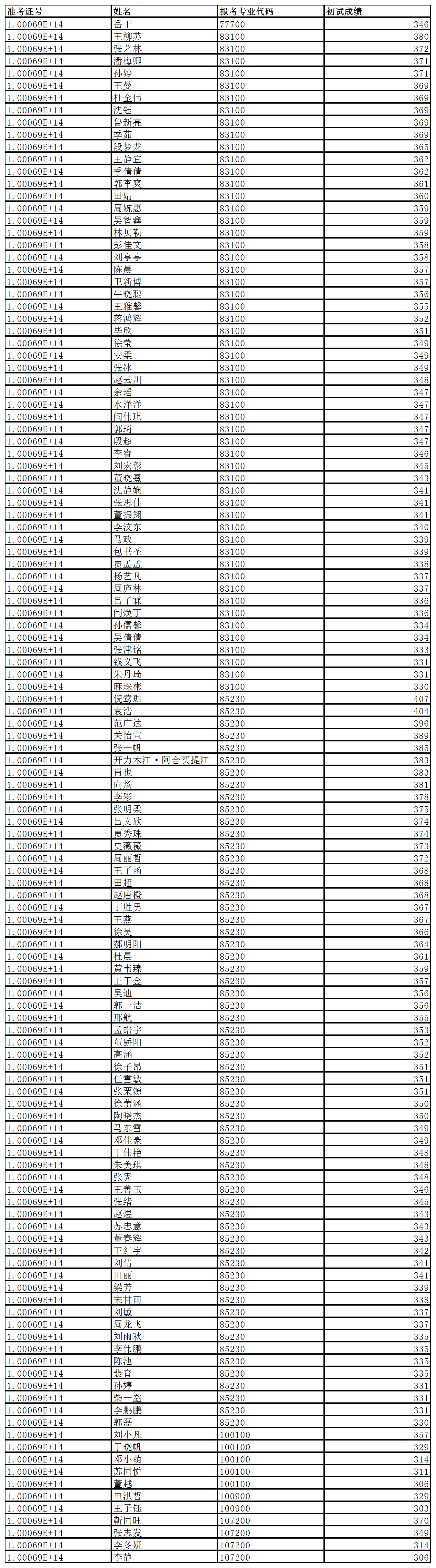
2019北京航空航天大学生物与医学工程学院考研复试名单

来源:爱考网 [2019-3-11] [微信公众号查成绩:]
 
微信公众号查成绩:

免责声明:以上内容仅代表原创者观点,其内容未经本站证实,本网对以上内容的真实性、完整性不作任何保证或承诺,转载目的在于传递更多信息,由此产生的后果与本网无关;如以上转载内容不慎侵犯了您的权益,请联系我们fjksw@163.com,我们将会及时处理。

您可能喜欢的文章

关于我们 | 联系我们 | 版权申明 | 网站导航 | 手机版

3773考试网(琼ICP备12003406号) 公安备案号:46010502000134

本站信息来自于官方网站及新闻媒体, 如有侵犯您的隐私请联系我们: