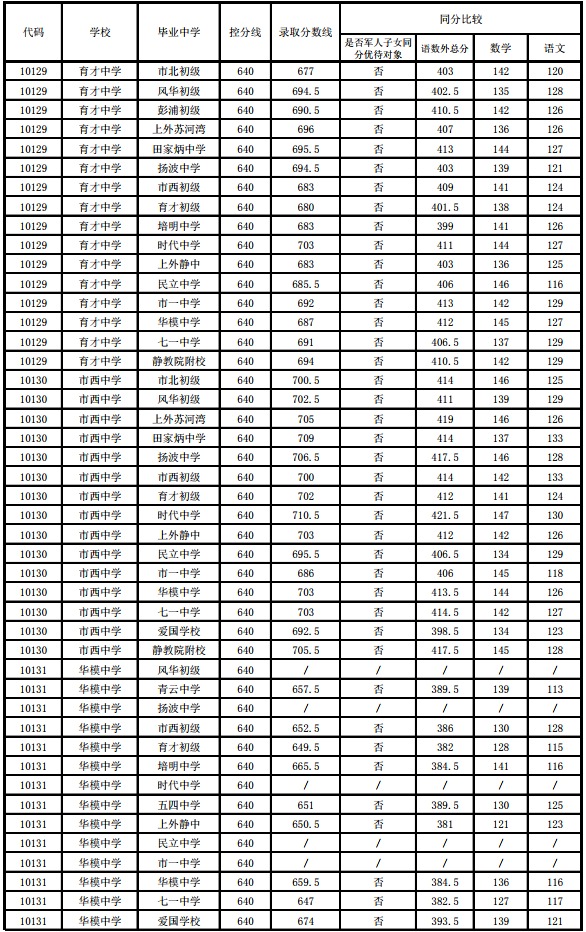
2021年上海静安区名额分配法录取分数线
代码 学校 毕业中学 控分线 录取分数线
同分比较
是否军人子女同
分优待对象 语数外总分 数学 语文
10129 育才中学 市北初级 640 677 否 403 142 120
10129 育才中学 风华初级 640 694.5 否 402.5 135 128
10129 育才中学 彭浦初级 640 690.5 否 410.5 142 126
10129 育才中学 上外苏河湾 640 696 否 407 136 126
10129 育才中学 田家炳中学 640 695.5 否 413 144 127
10129 育才中学 扬波中学 640 694.5 否 403 139 121
10129 育才中学 市西初级 640 683 否 409 141 124
10129 育才中学 育才初级 640 680 否 401.5 138 124
10129 育才中学 培明中学 640 683 否 399 141 126
10129 育才中学 时代中学 640 703 否 411 144 127
10129 育才中学 上外静中 640 683 否 403 136 125
10129 育才中学 民立中学 640 685.5 否 406 146 116
10129 育才中学 市一中学 640 692 否 413 142 129
10129 育才中学 华模中学 640 687 否 412 145 127
10129 育才中学 七一中学 640 691 否 406.5 137 129
10129 育才中学 静教院附校 640 694 否 410.5 142 129
10130 市西中学 市北初级 640 700.5 否 414 146 125
10130 市西中学 风华初级 640 702.5 否 411 139 129
10130 市西中学 上外苏河湾 640 705 否 419 146 126
10130 市西中学 田家炳中学 640 709 否 414 137 133
10130 市西中学 扬波中学 640 706.5 否 417.5 146 128
10130 市西中学 市西初级 640 700 否 414 142 133
10130 市西中学 育才初级 640 702 否 412 141 124
10130 市西中学 时代中学 640 710.5 否 421.5 147 130
10130 市西中学 上外静中 640 703 否 412 142 126
10130 市西中学 民立中学 640 695.5 否 406.5 134 129
10130 市西中学 市一中学 640 686 否 406 145 118
10130 市西中学 华模中学 640 703 否 413.5 144 126
10130 市西中学 七一中学 640 703 否 414.5 142 127
10130 市西中学 爱国学校 640 692.5 否 398.5 134 123
10130 市西中学 静教院附校 640 705.5 否 417.5 145 128
10131 华模中学 风华初级 640 / / / / /
10131 华模中学 青云中学 640 657.5 否 389.5 139 113
10131 华模中学 扬波中学 640 / / / / /
10131 华模中学 市西初级 640 652.5 否 386 130 128
10131 华模中学 育才初级 640 649.5 否 382 128 115
10131 华模中学 培明中学 640 665.5 否 384.5 141 116
10131 华模中学 时代中学 640 / / / / /
10131 华模中学 五四中学 640 651 否 389.5 130 125
10131 华模中学 上外静中 640 650.5 否 381 121 123
10131 华模中学 民立中学 640 / / / / /
10131 华模中学 市一中学 640 / / / / /
10131 华模中学 华模中学 640 659.5 否 384.5 136 116
10131 华模中学 七一中学 640 647 否 382.5 127 117
10131 华模中学 爱国学校 640 674 否 393.5 139 121
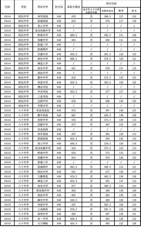
是否军人子女同
分优待对象 语数外总分 数学 语文
代码 学校 毕业中学 控分线 录取分数线
同分比较
10131 华模中学 静教院附校 640 667.5 否 390.5 126 125
10142 新中中学 新中初级 640 685.5 否 401.5 144 119
10142 新中中学 实验中学 640 673 否 406.5 139 131
10142 新中中学 市北初级 640 672.5 否 389.5 122 128
10142 新中中学 风华初级 640 681.5 否 402.5 139 121
10142 新中中学 彭浦初级 640 677.5 否 397 136 120
10142 新中中学 上外苏河湾 640 675 否 398 140 118
10142 新中中学 青云中学 640 684 否 400 137 125
10142 新中中学 岭南中学 640 685.5 否 406.5 136 130
10142 新中中学 彭浦三中 640 662.5 否 386.5 145 112
10142 新中中学 彭浦四中 640 686.5 否 414 146 127
10142 新中中学 回民中学 640 699.5 否 406 140 126
10142 新中中学 田家炳中学 640 677 否 398.5 137 121
10142 新中中学 扬波中学 640 687.5 否 402.5 140 122
10142 新中中学 新和中学 640 683.5 否 410.5 136 130
10142 新中中学 风范中学 640 691 否 409 141 130
10142 新中中学 市西初级 640 680.5 否 400.5 130 130
10142 新中中学 育才初级 640 670 否 388 133 120
10142 新中中学 时代中学 640 691 否 403 145 129
10142 新中中学 上外静中 640 681.5 否 403.5 141 118
10142 新中中学 民立中学 640 655.5 否 379.5 130 115
10142 新中中学 七一中学 640 690 否 407.5 143 125
10143 市北中学 新中初级 640 702 否 407 145 121
10143 市北中学 市北初级 640 694.5 否 405.5 136 125
10143 市北中学 风华初级 640 692 否 405.5 134 126
10143 市北中学 彭浦初级 640 697.5 否 414 141 131
10143 市北中学 上外苏河湾 640 704 否 411 143 123
10143 市北中学 青云中学 640 695.5 否 413.5 147 129
10143 市北中学 彭浦三中 640 699.5 否 407.5 145 120
10143 市北中学 久隆模范 640 702 否 422 141 135
10143 市北中学 闸北八中 640 696 否 409 144 125
10143 市北中学 田家炳中学 640 697 否 413 140 127
10143 市北中学 扬波中学 640 699 否 418 148 128
10143 市北中学 新和中学 640 696 否 410.5 148 126
10143 市北中学 风范中学 640 700 否 413 148 126
10143 市北中学 市西初级 640 692.5 否 407.5 140 130
10143 市北中学 育才初级 640 694.5 否 414.5 141 130
10143 市北中学 上外静中 640 703 否 420.5 141 132
10143 市北中学 市一中学 640 688.5 否 403.5 141 120
10143 市北中学 七一中学 640 697 否 420 146 131
10143 市北中学 静教院附校 640 688.5 否 408.5 140 123
10144 回民中学 市北初北校 640 657.5 否 379.5 124 117
10144 回民中学 新中初级 640 654.5 否 389 130 120
10144 回民中学 育群中学 640 / / / / /
10144 回民中学 实验中学 640 670 否 407 145 121
10144 回民中学 朝阳中学 640 655 否 380.5 127 121
是否军人子女同
分优待对象 语数外总分 数学 语文
代码 学校 毕业中学 控分线 录取分数线
同分比较
10144 回民中学 风华初级 640 670 否 396.5 127 124
10144 回民中学 彭浦初级 640 643 否 370 117 119
10144 回民中学 青云中学 640 / / / / /
10144 回民中学 成功实验中学 640 / / / / /
10144 回民中学 岭南中学 640 660.5 否 395.5 131 126
10144 回民中学 保德中学 640 663 否 386 141 115
10144 回民中学 彭浦三中 640 / / / / /
10144 回民中学 彭浦四中 640 / / / / /
10144 回民中学 共康中学 640 655.5 否 381.5 142 123
10144 回民中学 回民中学 640 660.5 否 379.5 128 121
10144 回民中学 闸北八中 640 / / / / /
10144 回民中学 向东中学 640 641 否 379 131 115
10144 回民中学 扬波中学 640 / / / / /
10144 回民中学 新和中学 640 642 否 372.5 135 124
10144 回民中学 风范中学 640 655.5 否 383.5 128 122
10144 回民中学 塘沽学校 640 / / / / /
10144 回民中学 华灵学校 640 653.5 否 377 127 124
10144 回民中学 三泉学校 640 / / / / /
10144 回民中学 五四中学 640 670 否 389 129 125
10144 回民中学 华模中学 640 / / / / /
10145 六十中学 市北初北校 640 672 否 397 130 127
10145 六十中学 新中初级 640 667 否 403.5 140 126
10145 六十中学 育群中学 640 645 否 375.5 129 113
10145 六十中学 实验中学 640 677 否 407 135 133
10145 六十中学 市北初级 640 / / / / /
10145 六十中学 风华初级 640 657 否 384 135 113
10145 六十中学 彭浦初级 640 652.5 否 385 126 124
10145 六十中学 青云中学 640 658.5 否 379.5 130 118
10145 六十中学 成功实验中学 640 644 否 373.5 122 113
10145 六十中学 岭南中学 640 653 否 373 133 112
10145 六十中学 保德中学 640 654 否 376 130 123
10145 六十中学 彭浦三中 640 / / / / /
10145 六十中学 彭浦四中 640 662.5 否 386.5 134 121
10145 六十中学 回民中学 640 641 否 377 130 117
10145 六十中学 久隆模范 640 676.5 否 402.5 138 128
10145 六十中学 闸北八中 640 654.5 否 391 137 113
10145 六十中学 向东中学 640 677 否 396.5 133 124
10145 六十中学 田家炳中学 640 683 否 408 139 129
10145 六十中学 扬波中学 640 667 否 393 139 116
10145 六十中学 新和中学 640 646.5 否 368 126 119
10145 六十中学 风范中学 640 657 否 383.5 128 124
10145 六十中学 上戏附校 640 670.5 否 397.5 129 126
10145 六十中学 培明中学 640 662 否 387 138 121
10145 六十中学 市一中学 640 650.5 否 384 128 122
10145 六十中学 大宁国际 640 654.5 否 395 122 128



免责声明:以上内容仅代表原创者观点,其内容未经本站证实,本网对以上内容的真实性、完整性不作任何保证或承诺,转载目的在于传递更多信息,由此产生的后果与本网无关;如以上转载内容不慎侵犯了您的权益,请联系我们fjksw@163.com,我们将会及时处理。