(22)若要在报表每一页底部都输出信息,需要设置的是
A)页面页脚 B)报表页脚 C)页面页眉 D)报表页眉
(23)Access数据库中,用于输入或编辑字段数据的交互控件是
A)文本框 B)标签 C)复选框 D)组合框
(24)一个关系数据库的表中有多条记录,记录之间的相互关系是
A)前后顺序不能任意颠倒,一定要按照输入的顺序排列
B)前后顺序可以任意颠倒,不影响库中的数据关系
C)前后顺序可以任意颠倒,但排列顺序不同,统计处理结果可能不同
D)前后顺序不能任意颠倒,一定要按照关键字段值的顺序排列
(25)在已建雇员表中有“工作日期”字段,下图所示的是以此表为数据源创建的“雇员基本信息”窗体。

假设当前雇员的工作日期为“1998-08-17”,若在窗体“工作日期”标签右侧文本框控件的“控件来源”属性中输入表达式:=Str ( Month ( [工作日期]) ) +"月",则在该文本框控件内显示的结果是
Str ( Month ( Date () ) ) +"月" B)"08"+"月"
C)08月 D)8月
(26)在宏的调试中,可配合使用设计器上的工具按纽
A)“调试” B)“条件” C)“单步” D)“运行”
(27)以下是宏m的操作序列设计:
条件 操作序列 操作参数
MsgBox 消息为“AA”
[tt]>1 MsgBox 消息为“BB”
… MsgBox 消息为“CC”
现设置宏m为窗体“fTest”上名为“bTest”命令按钮的单击事件属性,打开窗体“fTest”运行后,在窗体上名为“tt”的文本框内输入数字1,然后单击命令按钮bTest,则
A)屏幕会先后弹出三个消息框,分别显示消息“AA”、“BB”、“CC”
B)屏幕会弹出一个消息框,显示消息“AA”
C)屏幕会先后弹出两个消息框,分别显示消息“AA”和“BB”
D)屏幕会先后弹出两个消息框,分别显示消息“AA”和“CC”
(28)在窗体中添加了一个文本框和一个命令按钮(名称分别为tText和bCommand),并编写了相应的事件过程。运行此窗体后,在文本框中输入一个字符,则命令按钮上的标题变为“计算机等级考试”。以下能实现上述操作的事件过程是
A) Private Sub bCommand_Click( )
Caption = "计算机等级考试"
End Sub
B) Private Sub tText_Click( )
bCommand.Caption = "计算机等级考试"
End Sub
C) Private Sub bCommand_Change( )
Caption = "计算机等级考试"
End Sub
D) Private Sub tText_Change( )
bCommand.Caption = "计算机等级考试"
End Sub
(29)Sub 过程与 Function 过程最根本的区别是
A)Sub过程的过程名不能返回值,而Function过程能通过过程名返回值
B)Sub 过程可以使用Call语句或直接使用过程名调用,而Function过程不可以
C)两种过程参数的传递方式不同
D)Function过程可以有参数,Sub过程不可以
(30)在窗体中添加一个命令按钮(名称为Command1),然后编写如下代码:
Private Sub Command1_Click( )
a=0 : b=5 : c=6
MsgBox a=b+c
End Sub
窗体打开运行后,如果单击命令按钮,则消息框的输出结果为
A)l1 B)a=11 C)0 D)False
(31) 在窗体中添加一个名称为Command1的命令按钮,然后编写如下事件代码:
Private Sub Command1_Click( )
Dim a(10,10)
For m=2 To 4
For n=4 To 5
a(m,n)=m*n
Next n
Next m
MsgBox a(2,5)+a(3,4)+a(4,5)
End Sub
窗体打开运行后,单击命令按钮,则消息框的输出结果是
A)22 B)32 C)42 D)52
(32)在窗体上添加一个命令按钮(名为Command1)和一个文本框(名为Text1),并在命令按钮中编写如下事件代码:
Private Sub Command1_Click( )
m=2.17
n=Len(Str$(m)+Space(5))
Me!Text1 =n
End Sub
打开窗体运行后,单击命令按钮,在文本框中显示
A)5 B)8 C)9 D)10
(33)在窗体中添加一个名称为Command1的命令按钮,然后编写如下事件代码:
Private Sub Command1_Click( )
A=75
If A>60 Then I=1
If A>70 Then I=2
If A>80 Then I=3
If A>90 Then I=4
MsgBox I
End Sub
窗体打开运行后,单击命令按钮,则消息框的输出结果是
A)1 B)2 C)3 D)4
(34)在窗体中添加一个名称为Command1的命令按钮,然后编写如下事件代码:
Private Sub Command1_Click( )
s="ABBACDDCBA"
For I=6 To 2 Step -2
x=Mid(s,I,I)
y=Left(s,I)
z=Right(s,I)
z=x & y & z
Next I
MsgBox z
End Sub
窗体打开运行后,单击命令按钮,则消息框的输出结果是
A)AABAAB B) ABBABA C)BABBA D)BBABBA
(35)在窗体中添加一个名称为Command1的命令按钮,然后编写如下程序:
Public x As Integer
Private Sub Command1_Click( )
x = 10
Call s1
Call s2
MsgBox x
End Sub
Private Sub s1( )
x = x + 20
End Sub
Private Sub s2( )
Dim x As Integer
x = x + 20
End Sub
窗体打开运行后,单击命令按钮,则消息框的输出结果为
A)10 B)30 C)40 D)50
二、填空题(每空2分,共30分)
请将每一个空的正确答案写在答题卡【1】~【15】序号的横线上,答在试卷上不得分。
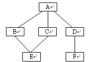
(1)下列软件系统结构图
的宽度为 【1】 。
(2) 【2】 的任务是诊断和改正程序中的错误。
(3)一个关系表的行称为 【3】 。
(4)按“先进后出”原则组织数据的数据结构是 【4】 。
(5)数据结构分为线性结构和非线性结构,带链的队列属于 【5】 。
(6)Access数据库中,如果在窗体上输入的数据总是取自表或查询中的字段数据,或者取自某固定内容的数据,可以使用 【6】 控件来完成。
(7)某窗体中有一命令按钮,在窗体视图中单击此命令按钮打开一个报表,需要执行的宏操作是 【7】 。
(8)在数据表视图下向表中输入数据,在未输入数值之前,系统自动提供的数值字段的属性是 【8】 。
(9)某窗体中有一命令按钮,名称为C1。要求在窗体视图中单击此命令按钮后,命令按钮上显示的文字颜色变为棕色(棕色代码为128),实现该操作的VBA语句是 【9】 。
(10)如果要将某表中的若干记录删除,应该创建 【10】 查询。
(11)在窗体中添加一个命令按钮(名称为Command1),然后编写如下代码:
Private Sub Command1_Click( )
Static b As Integer
b=b+1
End Sub
窗体打开运行后,三次单击命令按钮后,变量b的值是 【11】 。
(12)在窗体上有一个文本框控件,名称为Text1。同时,窗体加载时设置其计时器间隔为1秒、计时器触发事件过程则实现在Text1文本框中动态显示当前日期和时间。请补充完整。
Private Sub Form_Load( )
Me.TimerInterval =1000
End Sub
Private Sub 【12】
Me!text1 = Now( )
End Sub
(13)实现数据库操作的DAO技术,其模型采用的是层次结构,其中处于最顶层的对象
是 【13】 。
(14)下面VBA程序段运行时,内层循环的循环总次数是 【14】 。
For m = 0 To 7 step 3
For n = m -1 To m+1
Next n
Next m
(15)在窗体上添加一个命令按钮(名为Command1),然后编写如下事件过程:
Private Sub Command1_Click()
Dim b,k
For k=1 to 6
b=23+k
Next k
MsgBox b+k
End Sub
打开窗体后,单击命令按钮,消息框的输出结果是 【15】 。