学历类
|
阳光高考
美术高考
研究生
自考
成人高考
专升本
中考
会考
外语类|
四 六 级
职称英语
商务英语
公共英语
日语能力
资格类
|
公 务 员
报 关 员
银行从业
司法考试
导 游 证
教师资格
财会类|
会 计 证
经 济 师
会计职称
注册会计
税 务 师
工程类
|
一级建造
二级建造
造 价 师
造 价 员
咨 询 师
监 理 师
医学类|
卫生资格
执业医师
执业药师
执业护士
国际护士
计算机
|
等级考试
软件水平
应用能力
其它类
|
书画等级
驾驶员
书法等级
少儿英语
报 检 员
单证员
地图
专题内容
考试资讯
招生考试网
-
成人高考
-
试题答案
- 正文
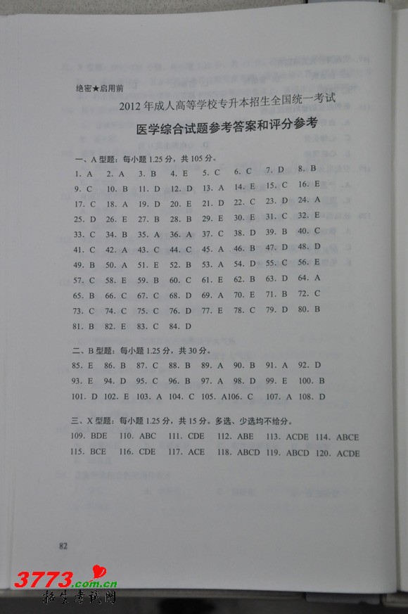
2012成人高考专升本医学综合试题答案
来源:2exam.com
2012-10-16 11:07:33
2012成人
高考
专升本
医学综合试卷答案
2012成人高考专升本日语真题
2012成人高考专升本日语试卷答案
2012成人高考高起点语文试题
2012成人高考高起点英语真题卷
2012成人高考高起点文科数学试题
2012成人高考理科数学试题答案(高中起点)
2012成人高考历史地理试卷真题(高中起点)
2012成人高考物理化学试卷真题(高中起点)
2012成人高考语文真题答案(高中起点)
2012成人高考理工类数学试题答案(高中起点)
2012成人高考物理化学试题答案(高中起点)
2012成人高考历史地理真题答案(高中起点)
2012成人高考英语真题答案(高中起点)
2012成人高考文科数学答案(高中起点)
2012成人高考高中起点日语试题
分享到:
QQ空间
新浪微博
腾讯微博
人人网
上一个文章:
2012成人高考专升本日语真题
下一个文章: 没有了
网站版权与免责声明
①由于各方面情况的不断调整与变化,本网所提供的相关信息请以权威部门公布的正式信息为准.
②本网转载的文/图等稿件出于非商业性目的,如转载稿涉及版权等问题,请在两周内来电联系.
最新文章
·
2012成人高考专升本医学综合试题答案
·
2012成人高考专升本日语真题
·
2012成人高考专升本日语试卷答案
·
2012成人高考高起点语文试题
·
2012成人高考高起点英语真题卷
·
2012成人高考高起点文科数学试题
·
2012成人高考理科数学试题答案(高中起
·
2012成人高考历史地理试卷真题(高中起
·
2012成人高考物理化学试卷真题(高中起
·
2012成人高考语文真题答案(高中起点)
·
2012成人高考理工类数学试题答案(高中
·
2012成人高考物理化学试题答案(高中起
·
2012成人高考历史地理真题答案(高中起
·
2012成人高考英语真题答案(高中起点)
·
2012成人高考文科数学答案(高中起点)
推荐文章
·
2012成人高考物理化学试题答案(高中起
·
2012成人高考历史地理真题答案(高中起
·
2012成人高考英语真题答案(高中起点)
·
2012成人高考专升本医学综合预测试题答
·
2012年成人高考专升本教育学心理学试题
·
2011成人高考专升本大学语文试题及答案
·
2011成人高考专升本高数(二)试题及答案
·
2011成人高考专升本高数(一)试题及答案
·
2010年成人高考专升本大学语文试题及答
·
2010年成人高考专升本政治试题及答案
·
2010年成人高考专升本高等数学(二)试
·
2010年成人高考专升本大学语文试题及答
·
2010年成人高考专升本高数(二)试题及
·
2010年成人高考专升本高数(一)试题及
·
2010年成人高考专升本英语试题及答案
|
关于我们
|
联系我们
|
版权申明
|
网站导航
|
闽ICP备06019773号