学历
|
高考
美术高考
考研
自考
成考
专升本
中考
会考
外语|
四六级
职称英语
商务英语
公共英语
日语能力
翻译资格
JTEST
资格
|
公务员
报关员
银行从业
司法
导游
教师资格
报关
财会|
会计证
经济师
会计职称
注册会计
税务师
资产评估
审计师
工程
|
一建
二建
造价师
造价员
咨询师
监理师
安全师
医学|
卫生资格
执业医师
执业药师
执业护士
|
教案
论文
文档
IT类
|
计算机等级
计算机软考
职称计算机
高校计算机
推荐-
国家公务员
事业单位招聘
军校国防生
自主招生
艺术特长生
招飞
3773考试网
-
公务员考试
-
事业单位招聘
-
安徽
- 正文
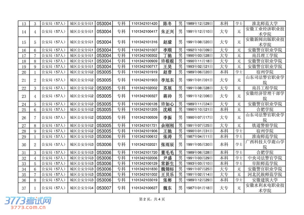
2013安徽蚌埠政法干警招录拟录取人选名单公示
来源:2exam.com
2013-12-27 9:26:10
上一页
1
2
3
4
下一页
您可能喜欢的文章
2013安徽六安政法干警招录体检合格人员名单(三)公告
2013安徽宿州宿城第一初级中学选聘教师拟聘人员名单
2013安徽池州市直机关遴选公务员部分职位计划取消通知
2013安徽黄山政法干警招录进入复试和考察人员名单
2013安徽铜陵政法干警招录体检进一步检查结果公告
2013安徽马鞍山政法干警招录部分职位递补体检考生人选名单公告
安徽亳州市2013年政法干警培养体制改革试点招录拟录取人员名单公示
2013年安徽六安市政法干警招录体检合格名单(三)
2013安徽马鞍山政法干警招录部分职位递补体检公告
2013安徽马鞍山政法干警招录体检结果公告
上一个文章:
2013安徽六安金寨县县直单位遴选拟选调人员公示
网站版权与免责声明
①由于各方面情况的不断调整与变化,本网所提供的相关信息请以权威部门公布的正式信息为准.
②本网转载的文/图等稿件出于非商业性目的,如转载稿涉及版权及个人隐私等问题,请在两周内邮件fjksw@163.com联系.
最新文章
·
2013安徽蚌埠政法干警招录拟录取人选名
·
2013安徽六安金寨县县直单位遴选拟选调
·
2013安徽宿州埇桥区事业单位招聘笔试成
·
安徽人社厅直属事业单位2013下半年拟聘
·
安徽人社厅2013公务员拟遴选人员公示
·
2013安徽宿马现代产业园区管委会选调拟
·
安徽2013宣城市直事业单位选聘资格复审
·
安徽合肥市2013年下半年事业单位招聘面
·
安徽亳州市2013年政法干警培养体制改革
·
2013安徽亳州政法干警招录拟录取名单公
·
2013安徽芜湖无为县图书馆招录非在编人
·
2013安徽合肥下半年事业单位招聘面试及
·
2013安徽宣城绩溪县下半年事业单位拟聘
·
安徽2013芜湖南陵县事业单位拟录用名单
·
2013安徽芜湖政法干警招录拟录用人选公
推荐文章
·
安徽2013合肥长丰事业单位招聘笔试成绩
·
安徽事业单位考试2013成绩查询入口
·
安徽基层公益性岗位2012成绩查询入口
·
2012年安徽省滁州市军队转业干部考试的
·
2011年安徽省亳州市市直事业单位招聘公
·
安徽省界首市2010年招聘事业单位人员公
·
安徽省宿州市埇桥区招聘事业单位人员公
·
安徽省蚌埠市2010年下半年事业单位招聘
·
2010年安徽凤阳县部分事业单位招聘公告
·
2010年安徽省阜阳市颍东区事业单位招聘
·
2010年安徽滁州市南谯区部分事业单位招
·
2010年安徽太湖县事业单位招聘公告
·
2010年安徽省直事业单位招聘人员公告与
|
关于我们
|
联系我们
|
版权申明
|
网站导航
|
琼ICP备12003406号