学历
|
高考
美术高考
考研
自考
成考
专升本
中考
会考
外语|
四六级
职称英语
商务英语
公共英语
日语能力
翻译资格
JTEST
资格
|
公务员
报关员
银行从业
司法
导游
教师资格
报关
财会|
会计证
经济师
会计职称
注册会计
税务师
资产评估
审计师
工程
|
一建
二建
造价师
造价员
咨询师
监理师
安全师
医学|
卫生资格
执业医师
执业药师
执业护士
|
教案
论文
文档
IT类
|
计算机等级
计算机软考
职称计算机
高校计算机
推荐-
国家公务员
事业单位招聘
军校国防生
自主招生
艺术特长生
招飞
3773考试网
-
公务员考试
-
事业单位招聘
-
安徽
- 正文
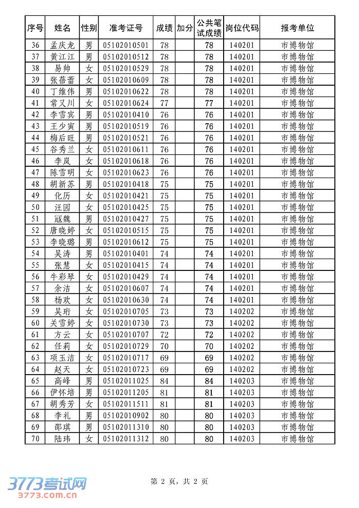
安徽蚌埠市2014年上半年事业单位招聘编内专业测试名单
来源:2exam.com
2014-4-17 9:54:39
上一页
1
2
您可能喜欢的文章
上海市总工会黄山休养院2014年招聘启事
2014安徽宿州市政府驻外招商联络处招聘面试的通知
2014年安徽阜阳市颍州区乡镇卫生院招聘专业技术人员公告
安徽阜阳市颍州区2014年乡镇卫生院招聘岗位及条件设置表
2014年安徽铜陵海关招聘专职协管员考试有关事项通知
2014年安徽芜湖南陵县纪委(监察局)选调人员公告
安徽金寨县2014年招聘辅警公告
安徽明光市卫生局2014事业单位招聘岗位表
安徽明光市广播电视台2014事业单位招聘岗位表
安徽明光工业园区管理委员会2014事业单位招聘岗位表
上一个文章:
上海市总工会黄山休养院2014年招聘启事
网站版权与免责声明
①由于各方面情况的不断调整与变化,本网所提供的相关信息请以权威部门公布的正式信息为准.
②本网转载的文/图等稿件出于非商业性目的,如转载稿涉及版权及个人隐私等问题,请在两周内邮件fjksw@163.com联系.
最新文章
·
安徽蚌埠市2014年上半年事业单位招聘编
·
上海市总工会黄山休养院2014年招聘启事
·
2014安徽宿州市政府驻外招商联络处招聘
·
2014年安徽阜阳市颍州区乡镇卫生院招聘
·
安徽阜阳市颍州区2014年乡镇卫生院招聘
·
2014年安徽铜陵海关招聘专职协管员考试
·
四川泸州市合江县人社局、民政局选调20
·
2014四川泸州市卫生执法监督支队遴选公
·
2014年安徽芜湖南陵县纪委(监察局)选
·
安徽金寨县2014年招聘辅警公告
·
安徽明光市卫生局2014事业单位招聘岗位
·
安徽明光市广播电视台2014事业单位招聘
·
安徽明光工业园区管理委员会2014事业单
·
安徽滁州明光市发展与改革委员会2014事
·
安徽滁州明光市文化广播新闻出版局2014
推荐文章
·
安徽2013蚌埠市中级人民法院招聘4人公告
·
安徽2013合肥长丰事业单位招聘笔试成绩
·
安徽事业单位考试2013成绩查询入口
·
安徽基层公益性岗位2012成绩查询入口
·
2012年安徽省滁州市军队转业干部考试的
·
2011年安徽省亳州市市直事业单位招聘公
·
安徽省界首市2010年招聘事业单位人员公
·
安徽省宿州市埇桥区招聘事业单位人员公
·
安徽省蚌埠市2010年下半年事业单位招聘
·
2010年安徽凤阳县部分事业单位招聘公告
·
2010年安徽省阜阳市颍东区事业单位招聘
·
2010年安徽滁州市南谯区部分事业单位招
·
2010年安徽太湖县事业单位招聘公告
·
2010年安徽省直事业单位招聘人员公告与
|
关于我们
|
联系我们
|
版权申明
|
网站导航
|
琼ICP备12003406号