学历类
|
阳光高考
美术高考
研究生
自考
成人高考
专升本
中考
会考
外语类|
四 六 级
职称英语
商务英语
公共英语
日语能力
资格类
|
公 务 员
报 关 员
银行从业
司法考试
导 游 证
教师资格
财会类|
会 计 证
经 济 师
会计职称
注册会计
税 务 师
工程类
|
一级建造
二级建造
造 价 师
造 价 员
咨 询 师
监 理 师
医学类|
卫生资格
执业医师
执业药师
执业护士
国际护士
计算机
|
等级考试
软件水平
应用能力
其它类
|
论文
驾照考试
书法等级
少儿英语
报检员
单证员
教案
专题
考试资讯
文档
3773考试网
-
公务员考试
-
公务员考试
-
安徽公务员
- 正文
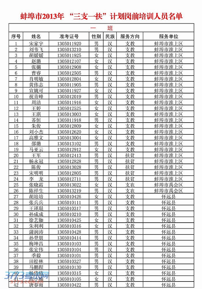
安徽蚌埠市2013三支一扶计划岗前培训通知
来源:2exam.com
2013-8-2 12:27:49
1
2
3
下一页
阜阳市2013年考录公务员递补体检工作的通知
安徽2013年黄山市公务员考录察名单第一批公告
安徽大学生村官2013年选聘对象名单公示
安徽铜陵市2013公务员考录复检合格考生名单
安徽铜陵市2013公务员考录体检递补考生名单
安徽2013滁州市公务员领取体检结果通知
安徽宿州市2013公务员考录考察通知
安徽宿州市2013公务员体检、复检人员体检结论通知(一)
安徽2013年马鞍山市考录公务员体检结果一览表
2013年马鞍山市考录公务员部分职位递补体检公告
安徽2013黄山市直机关公务员拟遴选公示
安徽2013年芜湖市考录公务员体检确认时间
安徽芜湖市2013公务员考录体检确认有关事项的通知
安徽蚌埠市2013年部分市直行政机关遴选公务员公告
安徽2013广德市公务员体检名单
分享到:
QQ空间
新浪微博
腾讯微博
人人网
上一个文章:
阜阳市2013年考录公务员递补体检工作的通知
}
网站版权与免责声明
①由于各方面情况的不断调整与变化,本网所提供的相关信息请以权威部门公布的正式信息为准.
②本网转载的文/图等稿件出于非商业性目的,如转载稿涉及版权等问题,请在两周内来电联系.
最新文章
·
安徽蚌埠市2013三支一扶计划岗前培训通
·
阜阳市2013年考录公务员递补体检工作的
·
安徽2013年黄山市公务员考录察名单第一
·
安徽铜陵市2013公务员考录复检合格考生
·
安徽铜陵市2013公务员考录体检递补考生
·
安徽2013滁州市公务员领取体检结果通知
·
安徽2013年马鞍山市考录公务员体检结果
·
2013年马鞍山市考录公务员部分职位递补
·
安徽2013黄山市直机关公务员拟遴选公示
·
安徽2013年芜湖市考录公务员体检确认时
·
安徽芜湖市2013公务员考录体检确认有关
·
安徽蚌埠市2013年部分市直行政机关遴选
·
安徽2013广德市公务员体检名单
·
安徽2013宣城市公务员体检名单
·
安徽2013淮北市公务员体检名单
推荐文章
·
安徽省省直部门2013年招录公务员面试成
·
2013安徽淮北公务员考试成绩查询
·
2013年六安市公务员笔试成绩查询
·
安徽六安市2013公务员笔试成绩查询
·
2013安徽公务员成绩查询系统入口
·
2013年铜陵市公务员笔试成绩查询
·
2013安徽公务员成绩查询时间网站
·
2013年安徽公务员考试申论真题及答案
·
2013年安徽公务员考试行测试题及答案
·
2013安徽公务员考试行测真题答案:言语
·
2013年安徽公务员考试报名入口
·
安徽2013阜阳公务员考试报名入口
·
2013黄山公务员考试报名入口
·
安徽2013六安公务员考试报名入口
·
安徽省2013年考试录用公务员职位表
|
关于我们
|
联系我们
|
版权申明
|
网站导航
|
琼ICP备12003406号