学历类
|
阳光高考
美术高考
研究生
自考
成人高考
专升本
中考
会考
外语类|
四 六 级
职称英语
商务英语
公共英语
日语能力
资格类
|
公 务 员
报 关 员
银行从业
司法考试
导 游 证
教师资格
财会类|
会 计 证
经 济 师
会计职称
注册会计
税 务 师
工程类
|
一级建造
二级建造
造 价 师
造 价 员
咨 询 师
监 理 师
医学类|
卫生资格
执业医师
执业药师
执业护士
国际护士
计算机
|
等级考试
软件水平
应用能力
其它类
|
论文
驾照考试
书法等级
少儿英语
报检员
单证员
教案
专题
考试资讯
文档
3773考试网
-
公务员考试
-
事业单位招聘
-
广东
- 正文
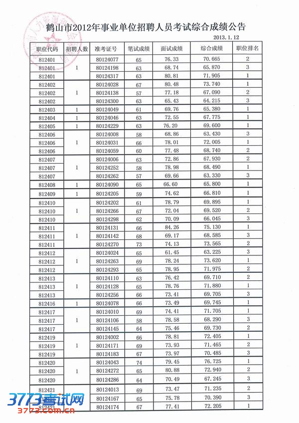
广东2013鹤山市事业单位招聘人员考试综合成绩公告
来源:2exam.com
2013-1-14 10:31:10
广东2013佛山市公安局招考雇员14名公告
广东2013年佛山市纪委招聘雇员1名公告
2013年广东广州市萝岗区基层医疗卫生机构拟录人员公示
2013年广东广州市海珠区妇幼保健院公开招聘医务人员
2013年广东公开招聘茂名市高州市镇(街道)新型农村合作医疗审核员公告
2013年广州市萝岗区中医医院公开招聘工作人员公告
广东2013年广州市海珠区妇幼保健院公开招聘医务人员
广东2013年公开招聘茂名市高州市镇(街道)新型农村合作医疗审核员公告
广东2013年广州市萝岗区中医医院公开招聘工作人员公告
广东深圳市龙岗区坂田街道2013年1月公开招聘社区党建工作专职组织员公告
广东省徐闻县未成年人宣传与教育中心2013公开招聘讲解员的公告
广东2013年深圳市机关事务管理局招聘节能管理专业技术雇员公告
广东2013年珠海市卫生局市直医疗卫生事业单位招聘152名专业技术人员公告
广东深圳市光明新区纪检监察局(审计局)2013年1月公开招考专业技术雇员公告
广东2013年深圳市龙岗区委区政府信访局公开招考临聘工作人员公告
分享到:
QQ空间
新浪微博
腾讯微博
人人网
上一个文章:
广东2013佛山市公安局招考雇员14名公告
}
网站版权与免责声明
①由于各方面情况的不断调整与变化,本网所提供的相关信息请以权威部门公布的正式信息为准.
②本网转载的文/图等稿件出于非商业性目的,如转载稿涉及版权等问题,请在两周内来电联系.
最新文章
·
广东2013鹤山市事业单位招聘人员考试综
·
广东2013佛山市公安局招考雇员14名公告
·
广东2013年佛山市纪委招聘雇员1名公告
·
2013年广东广州市萝岗区基层医疗卫生机
·
2013年广东广州市海珠区妇幼保健院公开
·
2013年广东公开招聘茂名市高州市镇(街
·
2013年广州市萝岗区中医医院公开招聘工
·
广东2013年广州市海珠区妇幼保健院公开
·
广东2013年公开招聘茂名市高州市镇(街
·
广东2013年广州市萝岗区中医医院公开招
·
广东深圳市龙岗区坂田街道2013年1月公
·
广东省徐闻县未成年人宣传与教育中心2
·
广东2013年深圳市机关事务管理局招聘节
·
广东2013年珠海市卫生局市直医疗卫生事
·
广东深圳市光明新区纪检监察局(审计局
推荐文章
·
广州美术学院第三批公开招聘、广州美术
·
2011年东莞市水务局直属事业单位下半年
·
2010年下半年广东省江门市直事业单位招
·
2010年下半年广东省清远市直事业单位招
·
广东省鹤山市2010年下半年事业单位招聘
·
2010年下半年广东省梅州市市直事业单位
·
深圳市南山区卫生系统2010年12月招考职
·
2010年下半年广州市越秀区卫生局属事业
·
2010年深圳市盐田区组团赴成都招聘毕业
·
广州市人力资源和社会保障局2010年赴省
·
2010年广州市番禺区事业单位招聘公告
·
广州市残疾人联合会属下事业单位2010年
·
2010年9月广东省深圳市事业单位招考职
·
广州市白云区事业单位2010年招聘公告
·
广州市荔湾区卫生局下属事业单位2010年
|
关于我们
|
联系我们
|
版权申明
|
网站导航
|
琼ICP备12003406号