招生考试网
学历| 高考 美术高考 考研 自考 成考 专升本 中考 会考 外语| 四六级 职称英语 商务英语 公共英语 日语能力 翻译资格 JTEST
资格| 公务员 报关员 银行从业 司法 导游 教师资格 报关 财会| 会计证 经济师 会计职称 注册会计 税务师 资产评估 审计师
工程| 一建 二建 造价师 造价员 咨询师 监理师 安全师 医学| 卫生资格 执业医师 执业药师 执业护士 | 教案 论文 文档
IT类| 计算机等级 计算机软考 职称计算机 高校计算机 推荐-国家公务员 事业单位招聘 军校国防生 自主招生 艺术特长生 招飞
 3773考试网 - 公务员考试 - 教师招聘 - 湖南教师招聘 - 正文

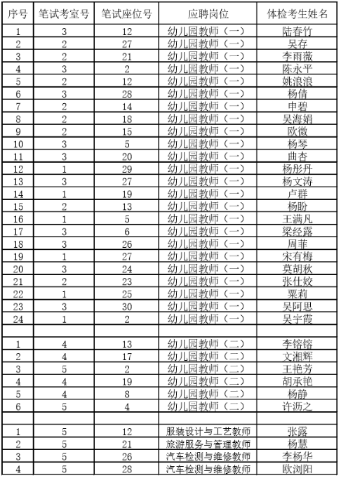
2015湖南通道县教师招聘体检通知

来源:2exam.com 2015-8-31 22:06:06

2015湖南通道县教师招聘体检通知
根据2015年通道县公开招聘教师考试综合成绩排名,按招聘计划数1:1的比例确定体检人选,下列考生作为体检人选参加体检。请参加体检的考生持本人身份证和准考证于2015年9月1日下午四点钟以前到通道县教育局人事股报到。 特此通知。

原标题:2015年通道县公开招聘教师体检通知

点击下载>>>

2015年通道县公开招聘教师体检考生名单

 

 

 

通道侗族自治县教育局

2015年8月31日

 



  • 上一个文章:
  • 网站版权与免责声明
    ①由于各方面情况的不断调整与变化,本网所提供的相关信息请以权威部门公布的正式信息为准.
    ②本网转载的文/图等稿件出于非商业性目的,如转载稿涉及版权及个人隐私等问题,请在两周内邮件fjksw@163.com联系.
    最新文章


    | 关于我们 | 联系我们 | 版权申明 | 网站导航 |
    琼ICP备12003406号