学历类
|
阳光高考
研 究 生
自学考试
成人高考
专 升 本
中考
会考
外语类
|
四 六 级
职称英语
商务英语
公共英语
日语能力
资格类
|
公 务 员
报 关 员
银行从业
司法考试
导 游 证
教师资格
财会类|
会 计 证
经 济 师
会计职称
注册会计
税 务 师
工程类
|
一级建造
二级建造
造 价 师
造 价 员
咨 询 师
监 理 师
医学类
|
卫生资格
执业医师
执业药师
执业护士
国际护士
计算机
|
等级考试
软件水平
应用能力
其它类
|
书画等级
美国高考
驾 驶 员
书法等级
少儿英语
报 检 员
单 证 员
出国留学
招生考试网
-
公务员考试
-
分省公务员
-
西藏公务员
- 正文
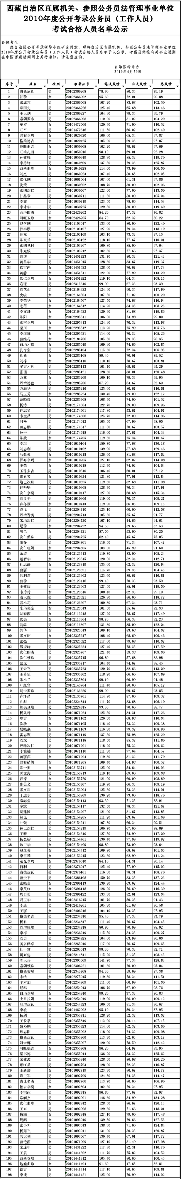
西藏2010年公务员考试合格人员名单公示
来源:
中国西藏新闻网
2010-4-20 编辑:zhoupanyu 【字体:小 大】
西藏2010年公务员考试合格人员名单公示
■
看了这篇文章的网友还关注以下文章
2010年西藏高校毕业生第二批公务员报到有关事宜的通知
2010年西藏基层政法机关定向招录考试合格分数线公告
2010年西藏基层政法机关定向招录参加体检人员名单公示
2010年西藏高校毕业生第二批考录笔试合格人员名单公示
西藏2010年第二批公务员考试笔试合格分数线公告
西藏2010年第二批公务员考试成绩查询_西藏高校毕业生就业信息网
西藏2010年高校毕业生第二批公开考录部分职位调整公告
2010年西藏第二批公务员考试笔试时间:9月18日
上一个文章:
西藏2010年公务员考试各职位合格分数线公告
下一个文章:
西藏2010年公务员考试成绩查询时间预测及查询方式
网站版权与免责声明
①由于各方面情况的不断调整与变化,本网所提供的相关信息请以权威部门公布的正式信息为准.
②本网转载的文/图等稿件出于非商业性目的,如转载稿涉及版权等问题,请在两周内来电联系.
最新文章
·
2010年西藏高校毕业生第二批公务员报到
·
2010年西藏基层政法机关定向招录考试合
·
2010年西藏基层政法机关定向招录参加体
·
2010年西藏高校毕业生第二批考录笔试合
·
西藏2010年第二批公务员考试笔试合格分
·
西藏2010年第二批公务员考试成绩查询_
·
西藏2010年高校毕业生第二批公开考录部
·
2010年西藏第二批公务员考试笔试时间:
·
西藏2010年高校毕业生第二批公开考录笔
·
西藏2010年高校毕业生第二批公开考录报
·
2010年西藏第二批公务员考试报名注意事
·
2010年西藏第二批公务员考试准考证打印
·
西藏2010年高校毕业生第二批公开考录准
·
2010年西藏自治区第二批公务员考试报名
·
西藏自治区2010年高校毕业生第二批公开
·
西藏自治区2010年高校毕业生第二批公开
·
2010年西藏自治区第二批公务员招考公告
·
西藏自治区2010年高校毕业生第二批公开
推荐文章
·
2010年西藏自治区第二批公务员招考公告
·
2010年西藏自治区第二批公务员招考计划
·
西藏2010年第一批考录公务员笔试成绩册
·
西藏2010年公务员考试各职位合格分数线
·
西藏区直机关公考公务员考生面试成绩公
·
西藏2010年高校毕业生第一批公开考录公
·
西藏2010年公开考录公务员计划表(第一
·
西藏2010年公开考录公务员公告(第一批
·
西藏自治区区直机关考录公务员面试时间
·
2010年西藏区公务员考试成绩分数线查询
热门文章
·
西藏2010年第二批公务员考试成绩查询_
·
2010年西藏自治区第二批公务员招考公告
·
2010年西藏自治区第二批公务员招考计划
·
西藏2010年公务员考试合格人员名单公示
·
西藏2010年公务员考试各职位合格分数线
·
西藏高校毕业生就业信息网 西藏公务员
·
西藏高校毕业生就业信息网(http://ww
·
西藏2010年高校毕业生第一批公开考录公
·
西藏2010年公开考录公务员计划表(第一
·
2010年西藏区直机关公务员分数线划定
·
2010年西藏区公务员考试成绩分数线查询
·
西藏自治区直属机关、参照公务员法管理
·
2010年西藏区直机关事业单位公考公务员
·
西藏2009年第二批公开考录计划3300人
·
西藏自治区人事厅2009年公务员公开考录