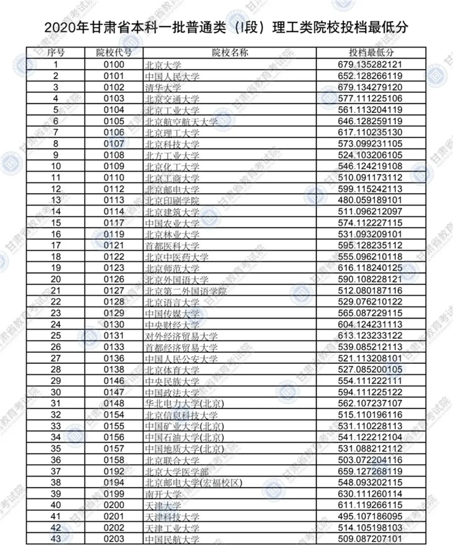
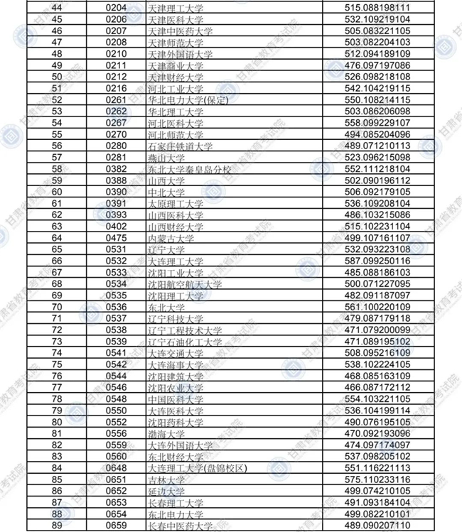
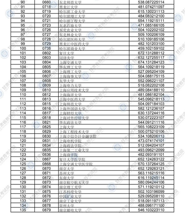
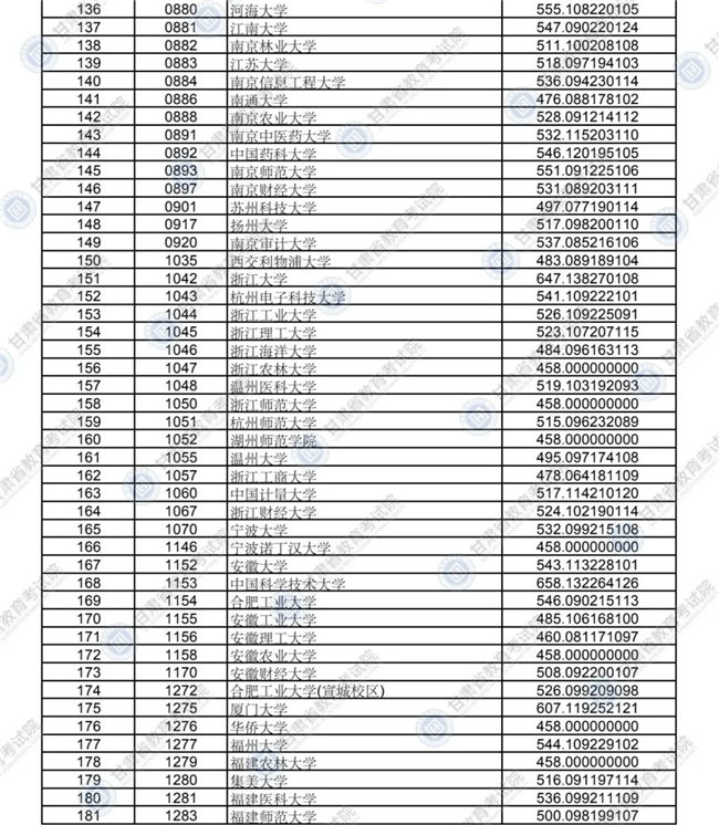
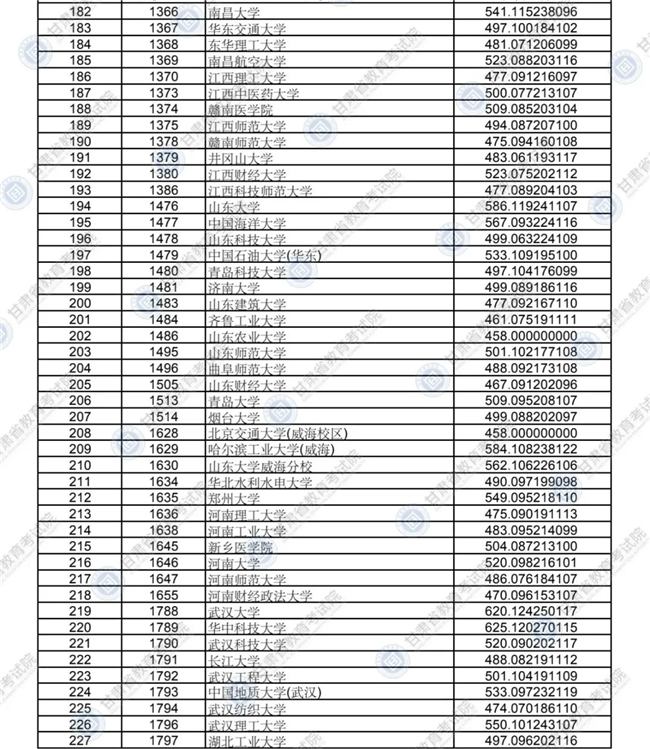
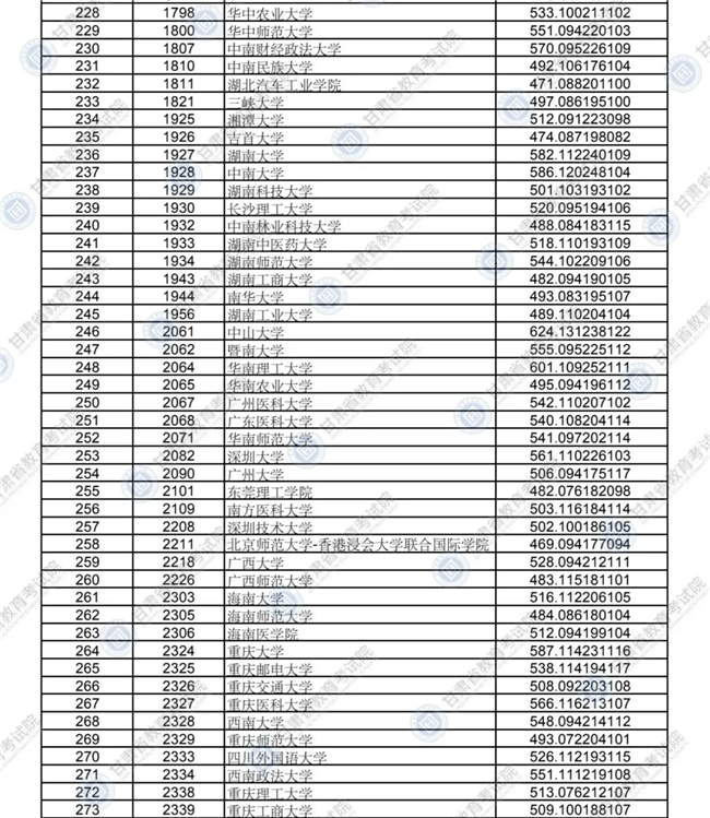
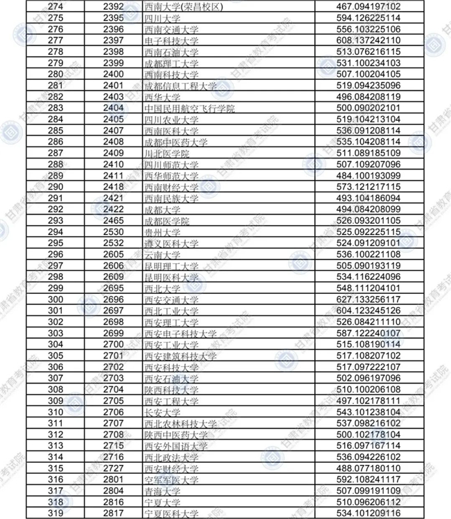
2020年甘肃省普通高校招生录取本科一批普通类(I段)理工类院校投档最低分
说明
1.投档最低分含排序分,按考生总分(文化课成绩+照顾政策分)从高到低排序(即:当考生总分相同时比较单科成绩,文史类单科成绩比较顺序依次为:语文、文科综合、数学、外语;理工类单科成绩比较顺序依次为:数学、理科综合、语文、外语)。
2.投档最低分不等于录取最低分。由于平行志愿实行一轮投档,考生档案一旦投出,将不再检索该考生的后续志愿。因此,对于考生来说该轮投档只有一次投档机会。个别考生会因专业不服从调剂或不符合院校相关招生政策等情况被院校退档。
3.部分院校有多种招生类型,同一所院校会出现不同的投档最低分,具体请根据院校代号对照《2020年甘肃省普通高校招生专业目录》。








免责声明:以上内容仅代表原创者观点,其内容未经本站证实,本网对以上内容的真实性、完整性不作任何保证或承诺,转载目的在于传递更多信息,由此产生的后果与本网无关;如以上转载内容不慎侵犯了您的权益,请联系我们fjksw@163.com,我们将会及时处理。