我省2021年普通高考本科批次征集志愿正式投档
7月28日,我省2021年普通高考本科批次征集志愿正式投档,共投出考生2315人,其中,普通类(历史)投出1035人,普通类(物理)投出1084人,体育类投出5人,音乐类(仅音乐表演-器乐)投出1人,美术类投出46人,舞蹈类投出21人,广播电视编导类投出123人。从投档情况来看,主要呈现以下特点:
一是考生志愿征集积极踊跃。从本次征集志愿投出考生数量来看,考生参与本科批次征集志愿积极踊跃。本次参加征集志愿的高校,除个别院校因对考试科目单科成绩或文化科总分要求高未满档外,其他院校均满档,院校生源充裕,考生紧紧抓住最后入读本科院校的机会。
二是考生志愿填报目标清晰。今年本科批次院校投档满档率高,但因部分考生志愿不服从调剂造成被院校退档,导致产生少量缺额计划,需要参加征集志愿。本次征集志愿考生填报目标清晰,更加符合院校招生要求,选择服从专业调剂的考生大大增加,切实降低了被退档的风险。
三是征集志愿投档分较高。本科批次院校征集志愿依然受到考生“热捧”,生源充足,征集志愿投档录取延续了本科批次首次投档录取的“热度”,参加征集志愿的大部分院校投档分较高。
本科批次艺术类统考征集志愿录取完成后,将开始艺术类校考征集志愿投档录取工作。整个本科批次征集志愿录取工作预计于7月30日结束。31日中午开始,参加征集志愿的考生可查询征集志愿录取结果。随后省招生办将开始提前批专科和专科批次的投档录取,请广大考生密切关注我院官微和官网有关公告,及时获取最新的招生录取信息。
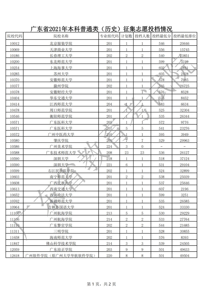
附件:1.广东省2021年本科普通类(历史)征集志愿投档情况
2.广东省2021年本科普通类(物理)征集志愿投档情况
3.广东省2021年本科体育类征集志愿投档情况
4.广东省2021年本科美术类统考征集志愿投档情况
5.广东省2021年本科音乐类统考征集志愿投档情况
6.广东省2021年本科舞蹈类统考征集志愿投档情况
7.广东省2021年本科广播电视编导类统考征集志愿投档情况












广东省教育考试院
2021年7月28日
免责声明:以上内容仅代表原创者观点,其内容未经本站证实,本网对以上内容的真实性、完整性不作任何保证或承诺,转载目的在于传递更多信息,由此产生的后果与本网无关;如以上转载内容不慎侵犯了您的权益,请联系我们fjksw@163.com,我们将会及时处理。