武书连2015中国734所大学综合实力排行榜
北大、浙大、清华列三甲
由中国管理科学研究院《中国大学评价》课题组组长武书连著,中国统计出版社出版的《挑大学 选专业--2015高考志愿填报指南》已经出版发行。
为了给考生和考生家长填报高考志愿提供参考,中国统计出版社自2003年起,按年度出版武书连的《挑大学选专业--高考志愿填报指南》,至今已经连续13年。自1991年武书连从事《中国大学评价》课题研究,至今24年。
《挑大学选专业--2015高考志愿填报指南》对比上年做了大幅调整。全书以大学综合实力排名、学科门类排名、本科专业排名为主线,以教师学术水平、教学科研效率、新生质量、本科毕业生质量排名为辅线,全面介绍了中国734所大学的基本情况,为考生及考生家长填报高考志愿提供了真实可信的参考资料。其中综合实力排行榜展示了各大学人才培养和科学研究的整体状况,是学校整体实力的充分体现。
在人们的认识中,大学基本上是固定不变的,可是现实中的大学却是不断变化的。14年前,在武书连出版第一部《挑大学选专业-高考志愿填报指南》时,同样在110名左右的大学,在同一个指标体系里,到了2015年,有的进步到40多名,有的退步到400多名。学校实力和水平变化之大,恍如隔世。因此,考生选择大学时,要注意观察大学的发展趋势,选择学术水平高、综合实力强的大学。
一、武书连2015中国734所大学综合实力排行榜
(200名之后的学校名次见分省排行榜)






二、武书连2015中国734所大学综合实力分省排行榜
(一)2015中国华北地区各省大学综合实力排行榜
华北地区包括北京市、天津市、河北省、山西省、内蒙古自治区,共5个省级行政区。
1、2015北京市大学综合实力排行榜


2、2015天津市大学综合实力排行榜

3、2015河北省大学综合实力排行榜

4、2015山西省大学综合实力排行榜

5、2015内蒙古自治区大学综合实力排行榜

(二)2015中国东北地区各省大学综合实力排行榜
东北地区包括辽宁省、吉林省、黑龙江省,共3个省级行政区。
1、2015辽宁省大学综合实力排行榜


2、2015吉林省大学综合实力排行榜

3、2015黑龙江省大学综合实力排行榜

(三)2015中国华东地区各省大学综合实力排行榜
华东地区包括上海市、江苏省、浙江省、安徽省、福建省、江西省、山东省,共7个省级行政区。
1、2015上海市大学综合实力排行榜

2、2015江苏省大学综合实力排行榜


3、2015浙江省大学综合实力排行榜

4、2015安徽省大学综合实力排行榜

5、2015福建省大学综合实力排行榜

6、2015江西省大学综合实力排行榜

7、2015山东省大学综合实力排行榜


(四)2015中国中南地区各省大学综合实力排行榜
中南地区包括河南省、湖北省、湖南省、广东省、广西壮族自治区、海南省,共6个省级行政区。
1、2015河南省大学综合实力排行榜

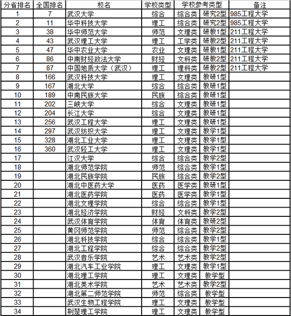
2、2015湖北省大学综合实力排行榜

3、2015湖南省大学综合实力排行榜

4、2015广东省大学综合实力排行榜

5、2015广西壮族自治区大学综合实力排行榜

6、2015海南省大学综合实力排行榜

(五)2015中国西南地区各省大学综合实力排行榜
西南地区包括重庆市、四川省、贵州省、云南省、西藏自治区,共5个省级行政区。
1、2015重庆市大学综合实力排行榜

2、2015四川省大学综合实力排行榜

3、2015贵州省大学综合实力排行榜

4、2015云南省大学综合实力排行榜

5、2015西藏自治区大学综合实力排行榜

(六)2015中国西北地区各省大学综合实力排行榜
西北地区包括陕西省、甘肃省、青海省、宁夏回族自治区、新疆维吾尔自治区,共5个省级行政区。
1、2015陕西省大学综合实力排行榜


2、2015甘肃省大学综合实力排行榜

3、2015青海省大学综合实力排行榜

4、2015宁夏回族自治区大学综合实力排行榜

5、2015新疆维吾尔自治区大学综合实力排行榜

数据来源:《挑大学选专业--2015高考志愿填报指南》武书连著,中国统计出版社2015年1月出版