学历类
|
阳光高考
美术高考
研究生
自考
成人高考
专升本
中考
会考
外语类|
四 六 级
职称英语
商务英语
公共英语
日语能力
资格类
|
公 务 员
报 关 员
银行从业
司法考试
导 游 证
教师资格
财会类|
会 计 证
经 济 师
会计职称
注册会计
税 务 师
工程类
|
一级建造
二级建造
造 价 师
造 价 员
咨 询 师
监 理 师
医学类|
卫生资格
执业医师
执业药师
执业护士
国际护士
计算机
|
等级考试
软件水平
应用能力
其它类
|
论文
驾照考试
书法等级
少儿英语
报检员
单证员
教案
专题
考试资讯
文档
3773考试网
-
考研
-
考研复试
- 正文
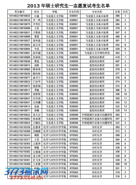
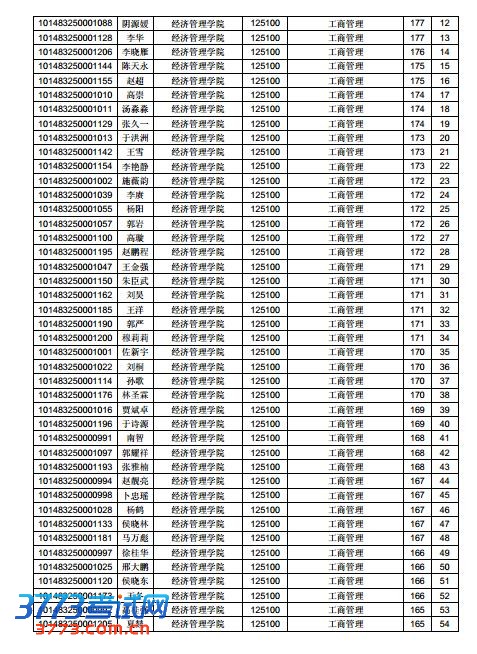
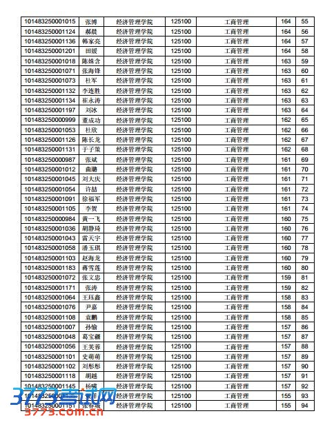
辽宁石油化工大学2013考研一志愿复试名单
来源:2exam.com
2013-3-29 21:25:55
辽宁石油化工大学2013年硕士一志愿复试考生名单
辽宁石油化工大学信息与控制工程学院2013年考研调剂信息
辽宁石油化工大学2013年考研调剂信息
辽宁石油化工大学2013考研成绩查询
辽宁石油化工大学2013考研报考现场确认时间方式公告
2013年辽宁石油化工大学工商管理硕士MBA招生简章
2012年辽宁石油化工大学硕士研究生招生简章
2012辽宁石油化工大学少数民族骨干招生简章
2012辽宁石油化工大学考研同等学力加试科目
2012年辽宁石油化工大学硕士生招生专业目录
2011年辽宁石油化工大学研究生招生调剂信息
2011年辽宁石油化工大学初试成绩查询
2011年辽宁石油化工大学研究生成绩查询
2011年辽宁石油化工大学“少数民族骨干”研究生招生简章
2011年辽宁石油化工大学研究生考试招生简章
2011年辽宁石油化工大学考研招生目录
分享到:
QQ空间
新浪微博
腾讯微博
人人网
上一个文章:
西安石油大学2013年考研复试时间安排
网站版权与免责声明
①由于各方面情况的不断调整与变化,本网所提供的相关信息请以权威部门公布的正式信息为准.
②本网转载的文/图等稿件出于非商业性目的,如转载稿涉及版权等问题,请在两周内来电联系.
最新文章
·
辽宁石油化工大学2013考研一志愿复试名
·
西安石油大学2013年考研复试时间安排
·
中国海洋大学2013年考研复试要求及安排
·
华北电力大学2013考研复试时间
·
华侨大学化工学院2013考研复试工作安排
·
福州大学物理与信息工程学院2013年复试
·
华中光电技术研究所2013考研复试办法
·
中科院电工研究所2013考研复试和体检安
·
华中农业大学工学院2013年考研复试录取
·
华中农业大学2013年同等学力考生加试说
·
中国地质大学武汉2013年复试和录取工作
·
中国地质大学武汉2013年考研招生计划
·
湖北工业大学MBA2013年工商管理硕士复
·
湖北工业大学2013年考研复试工作办法
·
中国石油大学人文社会科学学院2013考研
推荐文章
·
贵州大学2013年考研复试考生须知
·
宁夏大学2013年考研复试工作办法
·
2013年大连交通大学考研复试时间安排
·
中国石油大学(北京)2013考研复试时间内
·
中南大学公共管理学院2013年考研复试方
·
北京理工大学2013年会计硕士政治复试模
·
吉林大学经济学院2013考研复试名单
·
吉林大学电子学院2013年考研复试名单
·
南京大学2013年研究生复试办法
·
中山大学2013年考研面试体检安排
·
同济大学2013年考研复试注意事项
·
复旦大学上海医学院2013年考研复试名单
·
天津大学药学院2013年考研复试名单
·
2013山东建筑大学考研复试调剂录取问答
·
山东大学2013年考研复试录取工作安排
|
关于我们
|
联系我们
|
版权申明
|
网站导航
|
琼ICP备12003406号