首页
高考
美术高考
成人高考
考研
自考
中考
会考
专升本
高校
公务员
导游考试
更多
自主招生
|
保送生
|
艺术特长生
|
高水平运动员
|
空乘民航招飞
|
军校国防生
|
空军招飞
|
高考作文
|
大学排行榜
|
中考分数线
|
中考查分
3773考试网
-
考研
-
考研录取名单
- 正文
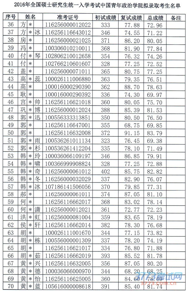
2016年中国青年政治学院硕士研究生拟录取名单
来源:3773考试网
2016-6-5 15:59:39
您可能喜欢的文章
2016年北京联合大学考古学学科硕士研究生拟
北京联合大学教育硕士研究生2016年拟录取名
2016年北京联合大学专门史学科硕士研究生拟
2016年北京信息科技大学硕士研究生拟录取名
2016年中国地质大学(北京)硕士研究生拟录
2016年北京舞蹈学院硕士研究生拟录取名单
2016年中国音乐学院硕士研究生拟录取名单
中央戏剧学院2016年硕士研究生拟录取名单
北京物资学院2016年硕士研究生拟录取名单
北京体育大学2016年硕士研究生拟录取名单
上一个文章:
2016年北京联合大学考古学学科硕士研究生拟录取名单
网站版权与免责声明
①由于各方面情况的不断调整与变化,本网所提供的相关信息请以权威部门公布的正式信息为准.
②本网转载的文/图等稿件出于非商业性目的,如转载稿涉及版权及个人隐私等问题,请在两周内邮件fjksw@163.com联系.
最新文章
·
2016年中国青年政治学院硕士研究生拟录
·
2016年北京联合大学考古学学科硕士研究
·
北京联合大学教育硕士研究生2016年拟录
·
2016年北京联合大学专门史学科硕士研究
·
2016年北京信息科技大学硕士研究生拟录
·
2016年中国地质大学(北京)硕士研究生
·
2016年北京舞蹈学院硕士研究生拟录取名
·
2016年中国音乐学院硕士研究生拟录取名
·
中央戏剧学院2016年硕士研究生拟录取名
·
北京物资学院2016年硕士研究生拟录取名
·
北京体育大学2016年硕士研究生拟录取名
·
2016年上海工程技术大学硕士研究生拟录
·
上海体育学院2016年硕士研究生拟录取名
·
2016年中共上海市委党校研究生拟录取名
·
2016年中国矿业大学硕士研究生拟录取名
推荐文章
·
2016年天津大学单独考试考研分数线
·
厦门大学2012年研究生拟录取名单查询
|
关于我们
|
联系我们
|
版权申明
|
网站导航
|
手机版
琼ICP备12003406号