学历类
|
阳光高考
研 究 生
自学考试
成人高考
专 升 本
中考
会考
外语类
|
四 六 级
职称英语
商务英语
公共英语
日语能力
资格类
|
公 务 员
报 关 员
银行从业
司法考试
导 游 证
教师资格
财会类|
会 计 证
经 济 师
会计职称
注册会计
税 务 师
工程类
|
一级建造
二级建造
造 价 师
造 价 员
咨 询 师
监 理 师
医学类
|
卫生资格
执业医师
执业药师
执业护士
国际护士
计算机
|
等级考试
软件水平
应用能力
其它类
|
书画等级
美国高考
驾 驶 员
书法等级
少儿英语
报 检 员
单 证 员
出国留学
招生考试网
-
中考网
-
各省中考
-
上海中考
- 正文
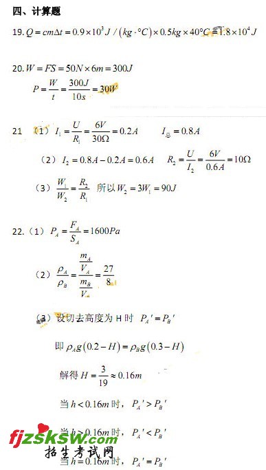
上海2011中考理化试题及答案
来源:
2exam.com
2011-6-28 14:36:27 【字体:小 大】
上一页
1
2
3
4
5
6
7
8
9
下一页
将这篇文章一键分享到:
江苏徐州2011中考化学试题及答案
北京2011中考语文试题及答案
四川成都2011中考成绩4种方式查询
广西南宁2011中考成绩查询7月9日可查
河北邯郸2011中考成绩查询时间
辽宁鞍山2011中考成绩查询时间:7月11日
安徽合肥2011中考最低录取控制线及分数段
福建泉州2011中考物理试题及答案
上一个文章:
2011上海今年中考试卷很“时尚” 难度分布合理
下一个文章: 没有了
网站版权与免责声明
①由于各方面情况的不断调整与变化,本网所提供的相关信息请以权威部门公布的正式信息为准.
②本网转载的文/图等稿件出于非商业性目的,如转载稿涉及版权等问题,请在两周内来电联系.
热门文章
·
上海2011中考语文试题及答案
·
2011年上海市中考体育考试工作实施方案
·
上海市50所民办高中最低投档控分线公布
·
2010年上海市民办高中中考录取分数线
·
2010年上海市民办高中最低投档控制分数
·
2010年上海市中考中高职贯通录取查询
·
2010上海中考分数线录取公布
·
上海中考570分左右相对集中 沪中招“提
·
2010年上海市实验性示范性高中提前批录
·
2010年上海市中职校提前批网上补填志愿
·
关于上海市普通高中学业水平考试成绩管
·
上海市2010年中招最低分线划定
·
2010年上海中考分数线公办普通高中530
·
2010年上海中招最低投档分数线已经确定
·
2010上海回民中学、久隆模范中学投档分
最新文章
·
上海2011中考理化试题及答案
·
2011上海今年中考试卷很“时尚” 难度
·
上海2011中考数学试题及答案
·
上海2011中考语文试题及答案
·
上海2011中考英语试题及答案
·
上海2011中考成绩查询时间7月5日
·
2011上海名校预录取结果陆续公布
·
上海中考28日政治开卷考
·
2011年上海中职学校提前批20日起填报志
·
上海市2011中职提前批志愿填报及录取注
·
2011上海学生艺术团优秀团员名单及降分
·
上海中考填志愿 别陷入分歧和纠结
·
上海2011中招名额分配法不少“幸运生”
·
上海示范性高中“零志愿”招生2055人
·
2011年上海市中招应届返沪高中自荐生公
推荐文章
·
上海2011中考理化试题及答案
·
上海2011中考英语试题及答案
·
2011上海名校预录取结果陆续公布
·
2011年上海市中考体育考试工作实施方案
·
上海市2010年中考录取分数线公布了!
·
2010年上海市中考成绩查询开始!
·
2010年上海市中考网上报名系统学生入口
·
2010年上海市中考中招网上报名本月22日
·
2010年上海市中考报名通知
·
2010年上海市中等学校高中阶段招生报名
·
上海市教育考试院2009年中考招生考试工
·
2009年上海市中考网上报名本月23日开始
·
2009年上海市中考升学体育考试工作实施
·
2009年上海市中考招生网上报名时间日程