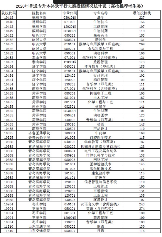
2020年普通专升本补录平行志愿投档情况统计表(高校推荐考生类)
院校代码院校名称专业代码专业名称最低投档线
10448 德州学院030101K 法学227
10448 德州学院071002 生物技术156
10448 德州学院120201K 工商管理107
10449 滨州学院083002T 生物制药119
10452 临沂大学050262 商务英语153
10452 临沂大学050301 新闻学131
10452 临沂大学070101 数学与应用数学(师范类) 269
10452 临沂大学082701 食品科学与工程131
10452 临沂大学090301 动物科学100
10453 泰山学院071001 生物科学(含师范类) 121
10453 泰山学院120901K 旅游管理173
10454 济宁学院040201 体育教育(师范类) 185
10454 济宁学院070101 数学与应用数学(师范类) 165
10454 济宁学院120402 行政管理102
10454 济宁学院120902 酒店管理102
10454 济宁学院130202 音乐学(师范类) 111
10455 菏泽学院071001 生物科学(含师范类) 146
10455 菏泽学院080204 机械电子工程105
10455 菏泽学院081001 土木工程167
10455 菏泽学院081301 化学工程与工艺171
10455 菏泽学院082801 建筑学141
10455 菏泽学院083002T 生物制药101
10455 菏泽学院090401 动物医学123
10455 菏泽学院130202 音乐学(师范类) 109
10455 菏泽学院130310 动画148
10455 菏泽学院130504 产品设计110
10825 齐鲁医药学院100801 中药学169
10825 齐鲁医药学院101006 口腔医学技术115
10868 青岛滨海学院040106 学前教育(师范类) 187
10868 青岛滨海学院080202 机械设计制造及其自动化128
10868 青岛滨海学院080601 电气工程及其自动化101
10868 青岛滨海学院080901 计算机科学与技术138
10868 青岛滨海学院080903 网络工程107
10868 青岛滨海学院101001 医学检验技术145
10868 青岛滨海学院101003 医学影像技术171
10868 青岛滨海学院101005 康复治疗学115
10868 青岛滨海学院101101 护理学152
10868 青岛滨海学院120102 信息管理与信息系统110
10868 青岛滨海学院120103 工程管理100
10868 青岛滨海学院120202 市场营销131
10868 青岛滨海学院120701 工业工程135
10868 青岛滨海学院130503 环境设计107
10904 枣庄学院050101 汉语言文学(含师范类) 243
10904 枣庄学院050201 英语(含师范类) 274
10904 枣庄学院081301 化学工程与工艺180
10904 枣庄学院120901K 旅游管理109
10904 枣庄学院130202 音乐学(师范类) 109
11510 山东交通学院050202 俄语130
11510 山东交通学院050207 日语115
11510 山东交通学院0818ZK
航海与船舶类(含航海技术
、轮机工程、船舶电子电气
工程专业)
113
12331 山东女子学院050201 英语(含师范类) 282
12331 山东女子学院120201K 工商管理127
12331 山东女子学院120206 人力资源管理108
12331 山东女子学院120901K 旅游管理109
12331 山东女子学院120903 会展经济与管理125
12843 潍坊科技学院080202 机械设计制造及其自动化156
12843 潍坊科技学院080901 计算机科学与技术168
12843 潍坊科技学院081301 化学工程与工艺141
12843 潍坊科技学院090102 园艺105
12843 潍坊科技学院120202 市场营销207
12843 潍坊科技学院130503 环境设计107
13006 山东英才学院040106 学前教育(师范类) 100
13006 山东英才学院080202 机械设计制造及其自动化102
13006 山东英才学院080901 计算机科学与技术100
13006 山东英才学院120204 财务管理145
13015 青岛恒星科技学院040106 学前教育(师范类) 102
13015 青岛恒星科技学院050101 汉语言文学(含师范类) 148
13015 青岛恒星科技学院050201 英语(含师范类) 163
13015 青岛恒星科技学院080201 机械工程101
13015 青岛恒星科技学院080208 汽车服务工程120
13015 青岛恒星科技学院080601 电气工程及其自动化100
13015 青岛恒星科技学院080903 网络工程100
13015 青岛恒星科技学院101005 康复治疗学100
13015 青岛恒星科技学院120104 房地产开发与管理100
13015 青岛恒星科技学院120105 工程造价104
13015 青岛恒星科技学院120201K 工商管理110
13015 青岛恒星科技学院120206 人力资源管理104
13015 青岛恒星科技学院120602 物流工程135
13015 青岛恒星科技学院130204 舞蹈表演107
13015 青岛恒星科技学院130505 服装与服饰设计105
13015 青岛恒星科技学院130508 数字媒体艺术114
13320 青岛黄海学院020401 国际经济与贸易111
13320 青岛黄海学院040106 学前教育(师范类) 155
13320 青岛黄海学院080202 机械设计制造及其自动化120
13320 青岛黄海学院080601 电气工程及其自动化100
13320 青岛黄海学院080901 计算机科学与技术129
13320 青岛黄海学院081001 土木工程124
13320 青岛黄海学院101101 护理学137
13320 青岛黄海学院120103 工程管理110
13320 青岛黄海学院120202 市场营销105
13320 青岛黄海学院120204 财务管理102
13320 青岛黄海学院120601 物流管理123
13320 青岛黄海学院120801 电子商务105
13320 青岛黄海学院130503 环境设计135
13320 青岛黄海学院130508 数字媒体艺术107
13322 山东现代学院080901 计算机科学与技术160
13322 山东现代学院080903 网络工程131
13322 山东现代学院081801 交通运输100
13322 山东现代学院100701 药学260
13322 山东现代学院101101 护理学182
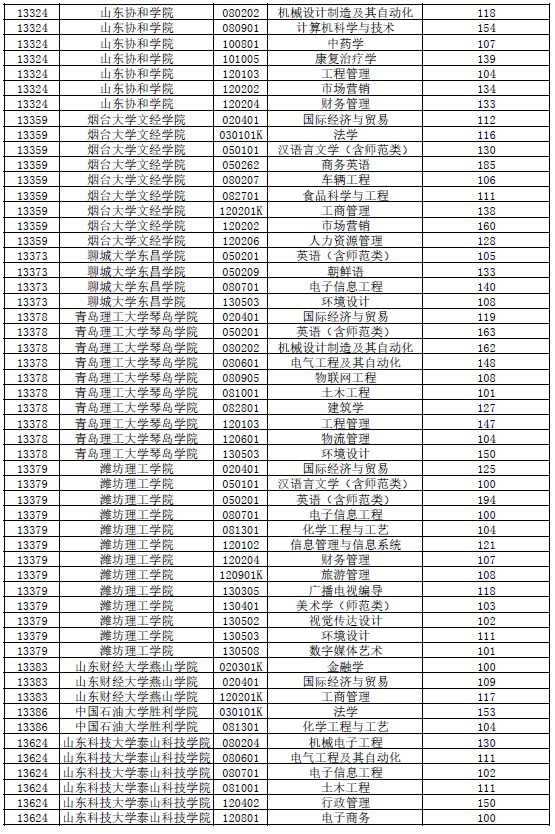
13324 山东协和学院040106 学前教育(师范类) 161
13324 山东协和学院080202 机械设计制造及其自动化118
13324 山东协和学院080901 计算机科学与技术154
13324 山东协和学院100801 中药学107
13324 山东协和学院101005 康复治疗学139
13324 山东协和学院120103 工程管理104
13324 山东协和学院120202 市场营销134
13324 山东协和学院120204 财务管理133
13359 烟台大学文经学院020401 国际经济与贸易112
13359 烟台大学文经学院030101K 法学116
13359 烟台大学文经学院050101 汉语言文学(含师范类) 130
13359 烟台大学文经学院050262 商务英语185
13359 烟台大学文经学院080207 车辆工程106
13359 烟台大学文经学院082701 食品科学与工程111
13359 烟台大学文经学院120201K 工商管理138
13359 烟台大学文经学院120202 市场营销160
13359 烟台大学文经学院120206 人力资源管理128
13373 聊城大学东昌学院050201 英语(含师范类) 105
13373 聊城大学东昌学院050209 朝鲜语133
13373 聊城大学东昌学院080701 电子信息工程140
13373 聊城大学东昌学院130503 环境设计108
13378 青岛理工大学琴岛学院020401 国际经济与贸易119
13378 青岛理工大学琴岛学院050201 英语(含师范类) 163
13378 青岛理工大学琴岛学院080202 机械设计制造及其自动化162
13378 青岛理工大学琴岛学院080601 电气工程及其自动化148
13378 青岛理工大学琴岛学院080905 物联网工程108
13378 青岛理工大学琴岛学院081001 土木工程101
13378 青岛理工大学琴岛学院082801 建筑学127
13378 青岛理工大学琴岛学院120103 工程管理147
13378 青岛理工大学琴岛学院120601 物流管理104
13378 青岛理工大学琴岛学院130503 环境设计150
13379 潍坊理工学院020401 国际经济与贸易125
13379 潍坊理工学院050101 汉语言文学(含师范类) 100
13379 潍坊理工学院050201 英语(含师范类) 194
13379 潍坊理工学院080701 电子信息工程100
13379 潍坊理工学院081301 化学工程与工艺104
13379 潍坊理工学院120102 信息管理与信息系统121
13379 潍坊理工学院120204 财务管理107
13379 潍坊理工学院120901K 旅游管理108
13379 潍坊理工学院130305 广播电视编导118
13379 潍坊理工学院130401 美术学(师范类) 103
13379 潍坊理工学院130502 视觉传达设计102
13379 潍坊理工学院130503 环境设计111
13379 潍坊理工学院130508 数字媒体艺术101
13383 山东财经大学燕山学院020301K 金融学100
13383 山东财经大学燕山学院020401 国际经济与贸易109
13383 山东财经大学燕山学院120201K 工商管理117
13386 中国石油大学胜利学院030101K 法学153
13386 中国石油大学胜利学院081301 化学工程与工艺104
13624 山东科技大学泰山科技学院080204 机械电子工程130
13624 山东科技大学泰山科技学院080601 电气工程及其自动化111
13624 山东科技大学泰山科技学院080701 电子信息工程102
13624 山东科技大学泰山科技学院081001 土木工程111
13624 山东科技大学泰山科技学院120402 行政管理150
13624 山东科技大学泰山科技学院120801 电子商务100
13857 山东华宇工学院080202 机械设计制造及其自动化133
13857 山东华宇工学院080207 车辆工程113
13857 山东华宇工学院080208 汽车服务工程117
13857 山东华宇工学院080601 电气工程及其自动化103
13857 山东华宇工学院080701 电子信息工程107
13857 山东华宇工学院080903 网络工程108
13857 山东华宇工学院120102 信息管理与信息系统120
13857 山东华宇工学院120105 工程造价107
13857 山东华宇工学院120602 物流工程107
13857 山东华宇工学院130504 产品设计113
13857 山东华宇工学院130508 数字媒体艺术130
13995 青岛工学院050201 英语(含师范类) 112
13995 青岛工学院080202 机械设计制造及其自动化101
13995 青岛工学院080601 电气工程及其自动化103
13995 青岛工学院080701 电子信息工程105
13995 青岛工学院080901 计算机科学与技术111
13995 青岛工学院081001 土木工程117
13995 青岛工学院120201K 工商管理148
13995 青岛工学院120202 市场营销109
13995 青岛工学院120601 物流管理102
13995 青岛工学院120801 电子商务124
13997 青岛农业大学海都学院020401 国际经济与贸易137
13997 青岛农业大学海都学院081001 土木工程102
13997 青岛农业大学海都学院082701 食品科学与工程122
13997 青岛农业大学海都学院082702 食品质量与安全124
13997 青岛农业大学海都学院090401 动物医学100
13997 青岛农业大学海都学院120204 财务管理106
13997 青岛农业大学海都学院120401 公共事业管理105
13997 青岛农业大学海都学院130305 广播电视编导135
13997 青岛农业大学海都学院130502 视觉传达设计102
13997 青岛农业大学海都学院130503 环境设计103
13998 齐鲁理工学院020301K 金融学111
13998 齐鲁理工学院040106 学前教育(师范类) 184
13998 齐鲁理工学院081001 土木工程105
13998 齐鲁理工学院081301 化学工程与工艺106
13999 山东财经大学东方学院020301K 金融学113
13999 山东财经大学东方学院020401 国际经济与贸易119
13999 山东财经大学东方学院050201 英语(含师范类) 110
13999 山东财经大学东方学院120102 信息管理与信息系统103
13999 山东财经大学东方学院120201K 工商管理156
13999 山东财经大学东方学院120202 市场营销141
13999 山东财经大学东方学院120601 物流管理100
13999 山东财经大学东方学院130502 视觉传达设计113
14002 济南大学泉城学院050101 汉语言文学(含师范类) 118
14002 济南大学泉城学院050201 英语(含师范类) 110
14002 济南大学泉城学院120202 市场营销100
14002 济南大学泉城学院120204 财务管理104
14002 济南大学泉城学院130502 视觉传达设计107
14002 济南大学泉城学院130503 环境设计103
14276 齐鲁师范学院040201 体育教育(师范类) 144
14276 齐鲁师范学院070101 数学与应用数学(师范类) 233
14276 齐鲁师范学院071001 生物科学(含师范类) 104
14277 山东青年政治学院120206 人力资源管理144
14277 山东青年政治学院120401 公共事业管理116
14277 山东青年政治学院120901K 旅游管理110
14277 山东青年政治学院120902 酒店管理100
14277 山东青年政治学院130204 舞蹈表演123
14438 山东管理学院050262 商务英语106
14439 山东农业工程学院080905 物联网工程101
14439 山东农业工程学院082702 食品质量与安全152
14439 山东农业工程学院120602 物流工程188
说明:考生位次按以下办法确定:所有专业均按照投档总成绩的顺序,依次比对成绩,成绩高者位
次在前。若位次相同则全部投档。
2020年普通专升本补录平行志愿投档情况统计表(3+2对口贯通分段培养考生类)
院校代码院校名称专业代码专业名称最低投档线
10868 青岛滨海学院101003 医学影像技术110
10868 青岛滨海学院101101 护理学108
10868 青岛滨海学院120103 工程管理85
12843 潍坊科技学院090102 园艺85
13015 青岛恒星科技学院080201 机械工程82
13015 青岛恒星科技学院120104 房地产开发与管理86
13015 青岛恒星科技学院120105 工程造价77
13015 青岛恒星科技学院120602 物流工程100
13015 青岛恒星科技学院130505 服装与服饰设计84
13320 青岛黄海学院080202 机械设计制造及其自动化64
13322 山东现代学院080903 网络工程99
13322 山东现代学院081801 交通运输73
13322 山东现代学院100701 药学77
13359 烟台大学文经学院030101K 法学97
13359 烟台大学文经学院080207 车辆工程79
13359 烟台大学文经学院082701 食品科学与工程91
13359 烟台大学文经学院120201K 工商管理98
13373 聊城大学东昌学院080701 电子信息工程99
13378 青岛理工大学琴岛学院080202 机械设计制造及其自动化68
13378 青岛理工大学琴岛学院080601 电气工程及其自动化74
13378 青岛理工大学琴岛学院080905 物联网工程102
13378 青岛理工大学琴岛学院081001 土木工程87
13378 青岛理工大学琴岛学院120103 工程管理82
13379 潍坊理工学院080701 电子信息工程74
13386 中国石油大学胜利学院081301 化学工程与工艺74
13624 山东科技大学泰山科技学院080204 机械电子工程69
13624 山东科技大学泰山科技学院080601 电气工程及其自动化64
13624 山东科技大学泰山科技学院081001 土木工程72
13995 青岛工学院080202 机械设计制造及其自动化61
13995 青岛工学院080601 电气工程及其自动化80
13995 青岛工学院080901 计算机科学与技术63
13995 青岛工学院120601 物流管理84
13997 青岛农业大学海都学院082701 食品科学与工程60
13997 青岛农业大学海都学院082702 食品质量与安全86
13997 青岛农业大学海都学院090301 动物科学91
13997 青岛农业大学海都学院090401 动物医学93
13998 齐鲁理工学院081301 化学工程与工艺67
14002 济南大学泉城学院120204 财务管理95
说明:考生位次按以下办法确定:所有专业均按照投档总成绩的顺序,依次比对成绩,成绩高者位次
在前。若位次相同则全部投档。






免责声明:以上内容仅代表原创者观点,其内容未经本站证实,本网对以上内容的真实性、完整性不作任何保证或承诺,转载目的在于传递更多信息,由此产生的后果与本网无关;如以上转载内容不慎侵犯了您的权益,请联系我们fjksw@163.com,我们将会及时处理。