3773考试网
 3773考试网 - 2017考研 - 历年真题答案 - 考研数学 - 正文

2015考研数学三真题答案完整版

来源:3773考研网 2014-12-28 12:26:14

2015年考研数学考试结束,跨考老师在第一时间给出数学三试题答案,请各位考生参考!

  一、选择题:1~8小题,每小题4分,共32分,下列每小题给出的四个选项中,只有一项符合题目要求的,请将所选项前的字母填在答题纸指定位置上.

  

  

  

  6.B

  二、填空题(9~14小题,每小题4分,共24分.请将答案写在答题纸指定位置上).

  

  

  

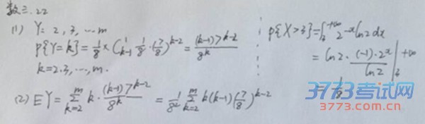
  三、解答题:15—23小题,共94分.请将解答写在答题纸指定位置上.解答应写出文字说明、证明过程或演算步骤.

  

  

  

  

  

  

  

  

  

  

  

  




  • 上一个文章:
  • 网站版权与免责声明
    ①由于各方面情况的不断调整与变化,本网所提供的相关信息请以权威部门公布的正式信息为准.
    ②本网转载的文/图等稿件出于非商业性目的,如转载稿涉及版权及个人隐私等问题,请在两周内邮件fjksw@163.com联系.


    | 关于我们 | 联系我们 | 版权申明 | 网站导航 |
    琼ICP备12003406号