首页
高考
美术高考
成人高考
考研
自考
中考
会考
专升本
高校
公务员
导游考试
更多
自主招生
|
保送生
|
艺术特长生
|
高水平运动员
|
空乘民航招飞
|
军校国防生
|
空军招飞
|
高考作文
|
大学排行榜
|
中考分数线
|
中考查分
3773考试网
-
考研
-
真题答案
- 正文
2015考研数学三试题及答案解析
来源:2exam.com
2014-12-29 8:27:29
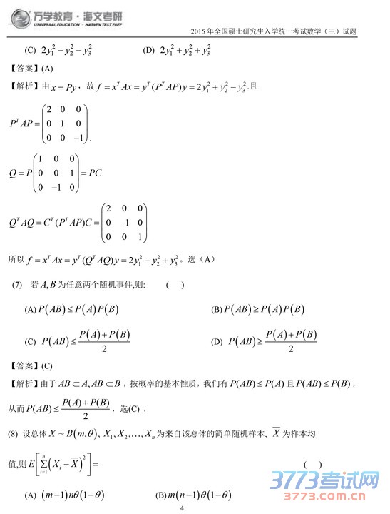
2015考研数学(三)试题及答案
您可能喜欢的文章
2015考研数学二试题及答案解析
2015考研数学一真题及答案解析
2015考研数学一试题及答案及解析完整版
2015考研管理类联考初数真题解析之抽签原理
2015考研管理类联考初数真题解析之三角不等
2015首都师范大学教育学考研774真题分析
2015西南大学专硕333教育基础真题分析
2015考研中科院大学应用心理硕士真题分析
2015西南大学教育学考研真题解析
2015考研心理学答案解析及完整真题
上一个文章:
2015考研数学二试题及答案解析
网站版权与免责声明
①由于各方面情况的不断调整与变化,本网所提供的相关信息请以权威部门公布的正式信息为准.
②本网转载的文/图等稿件出于非商业性目的,如转载稿涉及版权及个人隐私等问题,请在两周内邮件fjksw@163.com联系.
最新文章
·
2015考研数学三试题及答案解析
·
2015考研数学二试题及答案解析
·
2015考研数学一真题及答案解析
·
2015年考研英语一试题及答案(文字完整版
·
2015考研英语二真题及答案(文字完整版)
·
2015考研政治试题及答案解析(完整版)
·
2015考研政治分析题试题及答案要点
·
2015考研政治多选题试题及答案
·
2015年考研政治单选题试题及答案
·
2015年考研政治试卷分析题答案解析
·
2015考研政治试题真题(最新完整文字版)
·
2015考研政治试题整体难度与去年持平
·
2015考研英语真题及答案首发预告
·
2015考研政治真题及答案首发预告
·
2015考研数学真题及答案首发预告
推荐文章
·
2015考研数学三试题及答案解析
·
2015考研数学二试题及答案解析
·
2015考研数学一真题及答案解析
·
2015年考研英语一试题及答案(文字完整版
·
2015考研英语二真题及答案(文字完整版)
·
2015考研政治试题及答案解析(完整版)
·
2015考研政治分析题试题及答案要点
·
2015考研政治多选题试题及答案
·
2015年考研政治单选题试题及答案
·
2015年考研政治试卷分析题答案解析
·
2015考研政治试题真题(最新完整文字版)
·
2015考研真题及答案首发预告
·
2014专业硕士199管理类联考真题答案(完
·
考后第一时间发布2014考研真题答案解析
·
2014年考研试题答题注意事项
|
关于我们
|
联系我们
|
版权申明
|
网站导航
|
琼ICP备12003406号