首页
高考
美术高考
成人高考
考研
自考
中考
会考
专升本
高校
公务员
导游考试
更多
自主招生
|
保送生
|
艺术特长生
|
高水平运动员
|
空乘民航招飞
|
军校国防生
|
空军招飞
|
高考作文
|
大学排行榜
|
中考分数线
|
中考查分
3773考试网
-
考研
-
历年真题答案
-
考研数学
- 正文
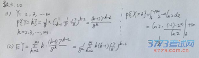
2015考研数学三答案完整版
来源:3773考研网
2014-12-28 13:38:31
2015考研数学三答案完整版
上一页
1
2
3
4
您可能喜欢的文章
2015考研数学二真题及答案完整版
2015年考研法律硕士法学联考专业基础真题
2015北京大学考研应用心理硕士347真题完整版
2015考研数学三真题及答案完整图片版
2015北师大应用心理硕士真题试题(主观题部分
2015考研数学三真题试卷(完整版)
2015考研数学二答案:填空题第九题
2015考研数学二答案:解答题23题
2015考研数学三解答题真题试卷
2015考研数学三填空题真题试卷
上一个文章:
2015考研数学二真题及答案完整版
网站版权与免责声明
①由于各方面情况的不断调整与变化,本网所提供的相关信息请以权威部门公布的正式信息为准.
②本网转载的文/图等稿件出于非商业性目的,如转载稿涉及版权及个人隐私等问题,请在两周内邮件fjksw@163.com联系.
最新文章
·
2015考研数学三答案完整版
·
2015考研数学二真题及答案完整版
·
2015考研数学三真题及答案完整图片版
·
2015考研数学三真题试卷(完整版)
·
2015考研数学二答案:填空题第九题
·
2015考研数学二答案:解答题23题
·
2015考研数学三解答题真题试卷
·
2015考研数学三填空题真题试卷
·
2015考研数学三选择题真题试卷
·
2015考研数学二真题试题(图片版)
·
2015考研管理类数学真题答案解析
·
2015考研数学三真题答案完整版
·
2015考研数学三真题试题(完整版)
·
2014考研数学一真题试题答案(完整版)
·
2014考研数学二试题答案(完整版)
推荐文章
·
2015考研数学三答案完整版
·
2015考研数学二真题及答案完整版
·
2015考研数学三真题试卷(完整版)
·
2015考研数学二答案:解答题23题
·
2015考研数学二真题试题(图片版)
·
2015考研管理类数学真题答案解析
·
2015考研数学三真题答案完整版
·
2015考研数学三真题试题(完整版)
·
2014考研数学一真题试题答案(完整版)
·
2014考研数学二试题答案(完整版)
·
2014考研数学三试题答案(完整版)
·
2014考研数学一真题试卷(图片完整版)
·
2014考研数学三真题试题(完整图片版)
·
2014考研数学二真题试题(完整图片版)
·
2014考研数学二真题图片版
|
关于我们
|
联系我们
|
版权申明
|
网站导航
|
琼ICP备12003406号