学历类
|
阳光高考
研 究 生
自学考试
成人高考
专 升 本
中考
会考
外语类
|
四 六 级
职称英语
商务英语
公共英语
日语能力
资格类
|
公 务 员
报 关 员
银行从业
司法考试
导 游 证
教师资格
财会类|
会 计 证
经 济 师
会计职称
注册会计
税 务 师
工程类
|
一级建造
二级建造
造 价 师
造 价 员
咨 询 师
监 理 师
医学类
|
卫生资格
执业医师
执业药师
执业护士
国际护士
计算机
|
等级考试
软件水平
应用能力
其它类
|
书画等级
美国高考
驾 驶 员
书法等级
少儿英语
报 检 员
单 证 员
出国留学
招生考试网
-
中考网
-
各省中考
-
江苏中考
-
连云港中考
- 正文
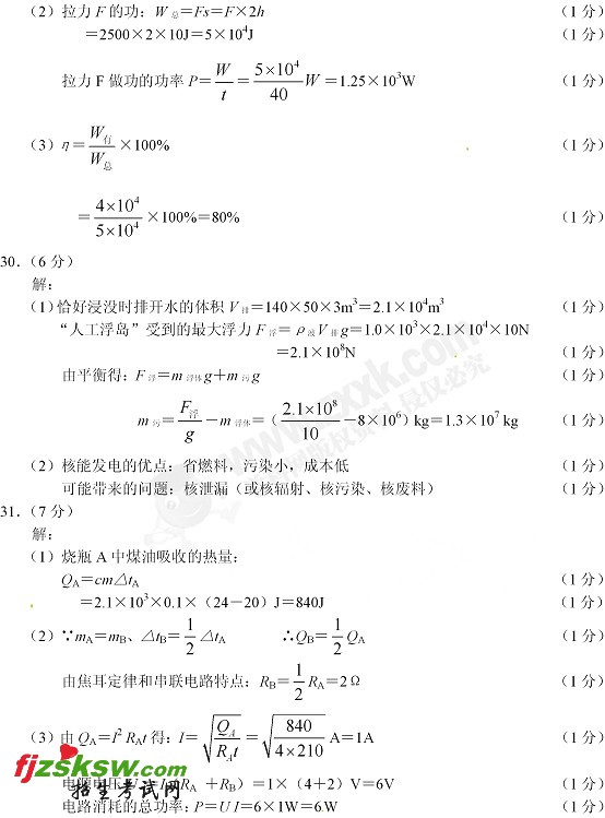
江苏连云港2011中考物理试题及答案
来源:
2exam.com
2011-7-1 16:50:44 【字体:小 大】
上一页
1
2
3
4
5
6
将这篇文章一键分享到:
江苏南京2011中考录取分数线
2011邳州市中考成绩查询分数录取结果邳州招考网中考查
江苏无锡2011中考分数段680分以上315人
2011常州市中考查询成绩
2011年常州中考成绩查询
2011江苏泰州中考分数查询
四川广安2011中考化学试题及答案
江苏淮安2011中考物理试题及参考答案
上一个文章:
2011连云港中考中考志愿填报时间方法
下一个文章: 没有了
网站版权与免责声明
①由于各方面情况的不断调整与变化,本网所提供的相关信息请以权威部门公布的正式信息为准.
②本网转载的文/图等稿件出于非商业性目的,如转载稿涉及版权等问题,请在两周内来电联系.
热门文章
·
赣榆县赣马高中2010年录取分数线
·
连云港市中考2010年高中学校招生六十问
最新文章
·
江苏连云港2011中考物理试题及答案
·
2011连云港中考中考志愿填报时间方法
·
江苏2010年连云港中考作文
·
赣榆县赣马高中2010年录取分数线
·
赣榆县厉庄中学2010年录取分数线
·
赣榆县城头高级中学2010年录取分数线
·
连云港市开发区高级中学2010年录取分数
·
连云港市锦屏高级中学2010年录取分数线
·
连云港市新浦中学2010年录取分数线
·
连云港市中考2010年高中学校招生六十问
·
连云港市2010年高中学校招生工作意见
·
2010年连云港市中考加分投档范围及操作
·
连云港中考市区四星级普通高中统招指标
·
连云港教育网2010年四星级高中统招指标
·
2010年连云港市中职教育招生计划
推荐文章
此栏目下没有推荐文章