东南网-海峡都市报5月8日讯(记者 李建芳)昨日,福州市中招办公布了福州市区初三市质检成绩排位表,比原定时间早了一周。
每年4月进行的初三市质检考试,是考生参加的第二次市质检考试,不仅完全模拟中考的考试安排,各初中还将上报学生成绩,供福州市中招办进行成绩段位次统计。
由于中考是考后未知分填报志愿,考生到底在市区处于哪一个成绩段位次?能报考什么类别的高中?考生与家长主要从这次市质检排位表中寻求答案,市质检的排位表也因此备受关注。
参与排位考生为何比中考人数少
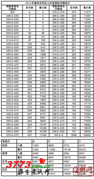
据了解,这次市质检共有20963名学生的成绩纳入统计,比报名今年福州中考的初三应届毕业生总人数(21414人)少400多人。记者了解到,人数有出入的原因,主要是少数初中上报学生成绩数据有所欠缺。同时,还有一部分回原籍考生与往届生没有参加市质检,这部分学生也有近200人。
不过,考虑到没有纳入统计的几百名考生在2万多名中考生里所占比例不大,这份质检排位表还是能够比较客观地反映学生在市区中考生中的排位情况。
50多所初中统一评卷今年成绩更有说服力
与往年不同的是,今年市区共有50多所初中参加了福州教育学院组织的统一网络评卷。往年各初中自行改卷,存在着评分标准松紧不一的情形。今年的市质检成绩排位表,与往年比,更客观、更有说服力。公办初中延安中学没有参加统一改卷,延安中学考生也反映本校评卷偏严,这个信息可能对这次质检排位表产生一点影响。
【焦点】
480分以上,省内户籍外来工子女137人
福州今年首次允许福州三中、福州四中、福州高级中学面向省内户籍且初中三年学籍均在福州市区的外来工随迁子女报考。不少本地家长非常关注这些符合报考一类校条件的外来工子女。他们的质检成绩如何?
记者从福州市中招办了解到,据统计,质检成绩480分以上,符合报考一类校条件的外来工子女共有137人,占480分以上总人数的6%左右。同时,上周末三中、四中、福高自主招生拟录取名单中,也有30多名外来工子女。
考虑到近四年三中择校生录取线卡在市区1800~2400人左右,这次质检480分以上共有2300人,也就是三中的录取线有望在480分附近。因此,这100多名外来工子女,也具备了挑战三中的水平。
不过,为了将外来工子女报考一类校对本地生源的冲击降到最低,今年福州市中招办也尽可能地做了一些周全部署。首先调整了一中、附中面向七县市录取规则,使这两所学校回流市区的指标可能要比往年大大增加,再加上福州三中今年自主招生扩招50人,几乎可以将外来工子女报考三中对本地生源的影响降到最低,甚至可能使本地生源被三中录取的机会变大。
同时,不少家长还担心农村独生子女与二女户可以加3分,会影响其他考生录取。据悉,这100多人有相当多不是农村户口,不能享受加3分政策。同时,他们也都不能享受定向生政策。
【预测】
普高第一条线划在469.5~465分之间
今年福州调整了普高第一条线的划定规则,不再是按8所一级达标校正常缴费生总数的1∶1.05划定,而是按福州一中、福州二中、福州三中、福州四中、福州格致中学、福州八中、福州高级中学和师大附中等八所一级达标学校面向市区招生(特色班除外)总数的75%划定普通高中第一条投档线。
这8所学校今年面向市区的招生计划(特色班除外)共招4600人,4600×75%=3450人,也就是说,市区第3450名学生的质检成绩,将划出质检卷的普高第一条线。对应排位表,这个成绩应在469.5~465分之间。
480分以上,有望被“一三附”录取
8所一级达标校的“排头兵”学校——福州一中、三中与师大附中,是家长和考生最关注的3所普高。那么,按照市质检成绩排位表,这三所高中的录取线又能切在多少分呢?
2008—2011年四年间,2008年,福州一中录取线420分,对应排名1155名左右,三中、附中均为412分,对应排名2530名;2009年,福州一中录取线409分,对应排名1270名左右,三校最低录取线401分,对应排名2200名左右;2010年,“一三附”录取线非常接近,在410.5~410分之间,对应排名1980多名;2011年福州一中录取线435分,对应排名1110多名,三校最低录取线424.5分,对应排名2400多名。
由此可见,福州一中这几年录取线大都卡在1100~1200多名(2009年除外),今年市质检成绩在490分以上的有1368人,这一成绩的考生有望被一中录取。师大附中与福州三中录取线则大都卡在2200~2400名,今年480分以上共有2300人,被师大附中与福州三中录取的可能性很大。
不过,今年福州一中、师大附中面向七县市招生的批次放到第一批,有可能招生不满现象增多,指标回流到市区;福州三中允许符合条件的外来工随迁子女报名,这些政策的调整,都将影响今年三校的报考和录取线格局。
八中、格致,关键看二志愿录取线
从近四年的录取线看,福州八中的正常缴费生录取线比格致要高一些,最近四年,八中正常生录取线卡在2500名左右,而格致则卡在3300多名。两所高中的择校生录取线则比较接近,大都卡在3600~3700名左右。
对照今年质检排位表,475分以上有2800多人,这个成绩的考生有望被八中正常生录取,470分以上有望被格致正常生录取,两校的一志愿择校生应该在普高第一条线上,并且二志愿录取线会在质检470~480分左右。
这几年,福州八中与格致的正常缴费生大都在一志愿招满,但择校生会收到二志愿考生。但去年出现了福州八中二志愿择校线非常高的现象,导致不少学生一、二志愿均落选。由于今年普高第一条线的切线规则将拉高普高第一条线的成绩,这也使得格致中学、福州八中二志愿的录取线可能会降低。
质检445分以上,有望被其他一类校录取
福州二中、福州四中、福州高级中学三所一类校,这几年择校生一志愿录取线大都卡在5300~5600名左右。根据这次质检成绩排位表,445分以上有5800多人,450分以上有5200多人,因此,如果质检成绩在445~450分以上的,有望被这三所学校录取线最低的一所录取。
成绩在390分以上的学生,有望被二类校录取,其中415分以上的学生,有望被二类校中录取线较高的几所录取,如屏东中学、福州11中、福州18中等。
