首页
高考
美术高考
成人高考
考研
自考
中考
会考
专升本
高校
公务员
导游考试
更多
自主招生
|
保送生
|
艺术特长生
|
高水平运动员
|
空乘民航招飞
|
军校国防生
|
空军招飞
|
高考作文
|
大学排行榜
|
中考分数线
|
中考查分
3773考试网
-
高考
-
全国高考
-
安徽高考
- 正文
北京
上海
广东
山东
江苏
浙江
湖北
四川
天津
陕西
湖南
福建
重庆
安徽
辽宁
江西
海南
宁夏
吉林
山西
广西
云南
新疆
黑龙江
青海
甘肃
西藏
河北
贵州
河南
内蒙古
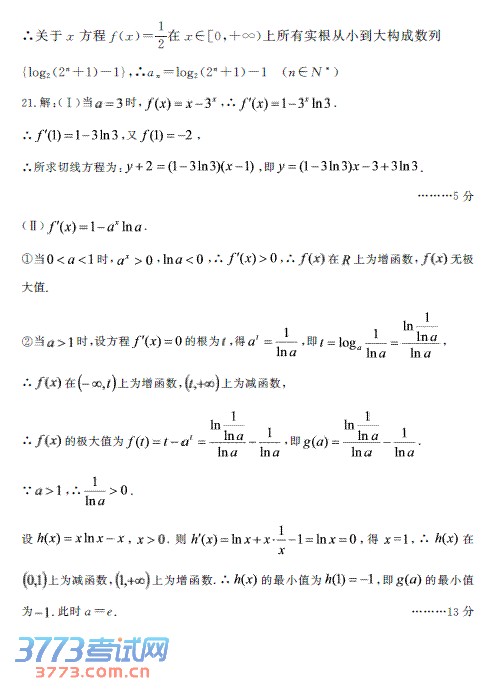
2014合肥二模数学理科试题答案发布
来源:2exam.com
2014-3-29 18:40:01
2014合肥二模数学理科试题答案发布
上一页
1
2
您可能喜欢的文章
2014合肥二模数学文科答案发布
2014合肥二模数学试题答案发布
2014合肥高三二模领取试卷和条形码通知
2014年合肥高三第二次教学质量检测值班电话
2014年安徽教育网高招咨询平台招生宣传工作的通知
安徽建筑大学安徽工程大学淮北师范大学一本招生
邀请一线教师评析2014合肥二模试卷
2014合肥高三二模考试时间安排
2014合肥高三二模各学科分析会安排表
2014合肥二模抽调阅卷教师人数
上一个文章:
2014合肥二模数学文科答案发布
网站版权与免责声明
①由于各方面情况的不断调整与变化,本网所提供的相关信息请以权威部门公布的正式信息为准.
②本网转载的文/图等稿件出于非商业性目的,如转载稿涉及版权及个人隐私等问题,请在两周内邮件fjksw@163.com联系.
最新文章
·
2014合肥二模数学理科试题答案发布
·
2014合肥二模数学文科答案发布
·
2014合肥二模数学试题答案发布
·
2014合肥高三二模语文试卷答案
·
2014合肥二模语文试题答案
·
2014合肥高三二模领取试卷和条形码通知
·
2014年合肥高三第二次教学质量检测值班
·
2014年安徽教育网高招咨询平台招生宣传
·
安徽建筑大学安徽工程大学淮北师范大学
·
邀请一线教师评析2014合肥二模试卷
·
2014合肥高三二模考试时间安排
·
2014合肥高三二模各学科分析会安排表
·
2014合肥二模抽调阅卷教师人数
·
2014合肥二模考试时间3月29日30日两天
·
2014安徽宣城高考报名考生人数17206人
推荐文章
·
2014合肥二模数学理科试题答案发布
·
2014合肥二模数学试题答案发布
·
2014合肥高三二模语文试卷答案
·
2014合肥二模语文试题答案
·
2014安徽省职业院校升学考试工作操作办
·
2014年安徽省对口招生改革试点工作实施
·
安徽省职业院校升学考试改革试点方案(
·
2014年安徽高考报名工作事项通知
·
2014安徽高考加分项目分值及申报材料
·
2014安徽高考报名11月18日开始注意事项
·
2013安徽高考专科批次征集志愿计划(理
·
2013安徽高职专科批次征集志愿计划(文
·
2013安徽高考专科院校投档分数线及名次
·
2013安徽高考专科补录征集志愿时间方式
·
2013安徽高考三本艺术类五批体育类二批
|
关于我们
|
联系我们
|
版权申明
|
网站导航
|
琼ICP备12003406号