首页
高考
美术高考
成人高考
考研
自考
中考
会考
专升本
高校
公务员
导游考试
更多
自主招生
|
保送生
|
艺术特长生
|
高水平运动员
|
空乘民航招飞
|
军校国防生
|
空军招飞
|
高考作文
|
大学排行榜
|
中考分数线
|
中考查分
3773考试网
-
高考
-
福建高考
- 正文
北京
上海
广东
山东
江苏
浙江
湖北
四川
天津
陕西
湖南
福建
重庆
安徽
辽宁
江西
海南
宁夏
吉林
山西
广西
云南
新疆
黑龙江
青海
甘肃
西藏
河北
贵州
河南
内蒙古
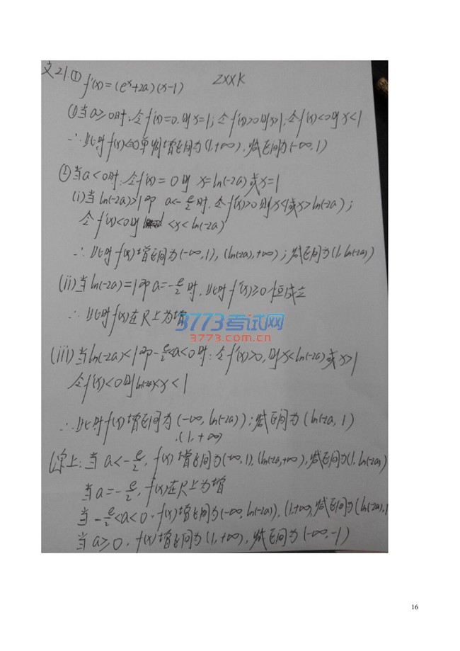
2016福建高考数学文科试题答案及解析
来源:3773考试网
2016-6-8 15:07:24
上一页
[1]
[2]
[3]
[4]
[5]
[6]
[7]
[8]
[9]
[10]
下一页
您可能喜欢的文章
2016高考试题及答案考后发布
2016安徽高考数学文科试题答案及解析
2016广东高考数学文科试题答案及解析
2016湖南高考数学文科试题答案及解析
2016湖北高考数学文科试题答案及解析
2016江西高考数学文科试题答案及解析
2016山西高考数学文科试题答案及解析
2016河北高考数学文科试题答案及解析
2016河南高考数学文科试题答案及解析
2016新课标1卷数学文科试题答案及解析
上一个文章:
2016福建高考文综答案发布
网站版权与免责声明
①由于各方面情况的不断调整与变化,本网所提供的相关信息请以权威部门公布的正式信息为准.
②本网转载的文/图等稿件出于非商业性目的,如转载稿涉及版权及个人隐私等问题,请在两周内邮件fjksw@163.com联系.
最新文章
·
2016福建高考数学文科试题答案及解析
·
2016福建高考文综答案发布
·
2016福建高考理综答案发布
·
2016福建高考英语口试时间日程安排表
·
2016福建高考英语口试考生须知
·
2016福建高考外语口试工作实施意见
·
2016福建高考文综试题及答案(试题发布
·
2016福建高考理综试题及答案(试题发布
·
2016福建高考语文试题答案及解析
·
2016福建高考理科数学试题答案及解析
·
2016福建高考数学理科答案发布
·
2016福建高考数学文科答案发布
·
2016福建高考文科数学试卷难度点评
·
2016福建高考理科数学难度点评
·
2016福建高考语文试卷难度分析
推荐文章
·
2016福建高考数学文科试题答案及解析
·
2016福建高考文综答案发布
·
2016福建高考理综答案发布
·
2016福建高考外语口试工作实施意见
·
2016福建高考理综试题及答案(试题发布
·
2016福建高考语文试题答案及解析
·
2016福建高考理科数学试题答案及解析
·
2016福建高考数学理科答案发布
·
2016福建高考数学文科答案发布
·
2016福建高考数学理科答案(部分答案)
·
2016全国1卷数学理科答案发布(部分答
·
2016福建高考数学文科答案(部分答案)
·
2016福建高考数学文科试题及答案(试题
·
2016福建高考数学理科试题及答案(试题
·
2016福建高考语文答案发布
|
关于我们
|
联系我们
|
版权申明
|
网站导航
|
手机版
琼ICP备12003406号