学历类
|
阳光高考
美术高考
研究生
自考
成人高考
专升本
中考
会考
外语类|
四 六 级
职称英语
商务英语
公共英语
日语能力
资格类
|
公 务 员
报 关 员
银行从业
司法考试
导 游 证
教师资格
财会类|
会 计 证
经 济 师
会计职称
注册会计
税 务 师
工程类
|
一级建造
二级建造
造 价 师
造 价 员
咨 询 师
监 理 师
医学类|
卫生资格
执业医师
执业药师
执业护士
国际护士
计算机
|
等级考试
软件水平
应用能力
其它类
|
书画等级
驾驶员
书法等级
少儿英语
报 检 员
单证员
地图
专题内容
考试资讯
招生考试网
-
高考
-
高考试题答案
- 正文
2013高考
福建高考
福建省质检
各省高考
历年资料
高考志愿
录取分数线
招生计划
高校招生
录取查询
招生章程
成绩查询
招生简章
高校专业
高考试题答案
高考满分作文
高考作文
高考政策
高考辅导
招生专业
高考大纲
心理减压
高考状元
自主招生
保送生
高中新课程
美术高考
高校频道
历年分数线查询
全国高考
北京
上海
广东
山东
江苏
浙江
湖北
四川
天津
陕西
湖南
福建
重庆
安徽
辽宁
江西
海南
宁夏
吉林
山西
广西
云南
新疆
黑龙江
青海
甘肃
西藏
河北
贵州
河南
内蒙古
香港
澳门
上海春季高考
天津春季高考
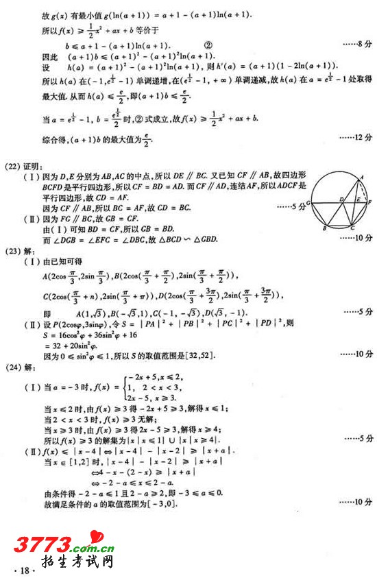
2012新课标卷高考数学理科试卷答案
来源:2exam.com
2012-10-21 14:47:10
上一页
1
2
河南省2012年高考文科数学试题及答案
河南省2012年高考英语试题及答案
河南省2012年高考语文试题及答案
2011河南高考语文作文:长大
2011河南高考作文题目中国崛起的特点
2012年河南高考作文题目给材料作文船主与油漆工
2012河南高考专科补录从27日10:00开档
关于做好2012年河南高考专科层次补录工作的通知
2012河南高考对口生高职高专补录征集志愿名单
2012河南高考高职高专二批补录征集志愿名单
2012河南高考高职高专一批补录征集志愿名单
2012河南高考专项计划专科批补录征集志愿名单
2012河南高考艺术高职高专批补录征集志愿名单
2012河南高考体育高职高专批补录征集志愿名单
2012年河南高考专科补录工作录取时间安排
分享到:
QQ空间
新浪微博
腾讯微博
人人网
上一个文章:
2012年高校招生考试新课标全国卷理综答案
网站版权与免责声明
①由于各方面情况的不断调整与变化,本网所提供的相关信息请以权威部门公布的正式信息为准.
②本网转载的文/图等稿件出于非商业性目的,如转载稿涉及版权等问题,请在两周内来电联系.
热门专题
·
卓越联盟自主招生
·
华约自主招生AAA测试
·
北约自主招生
·
高考零分作文
·
高考查分网
·
中考录取查询
·
中考分数线
·
中考试题答案网
·
中考作文网
·
中考查分网
·
港澳台联招
·
公安警察院校招生
更多专题
推荐文章
·
2012新课标全国卷英语试题及答案
·
湖北2012年高考语文B卷
·
湖北2012年高考语文答案
·
2012高考全国卷理综生物题答案及解析
·
广东省2012年普通高等学校招生统一考试
·
2012高考全国卷数学文科试卷答案解析
·
安徽省2012年普通高等学校招生统一考试
·
2012年高考大纲版全国卷理数试卷答案解
·
2012高考全国卷理科综合试题答案
·
2012年高考全国卷文科数学试卷答案
·
2012年高考全国卷理科数学试题答案
·
2012高考全国卷语文试题试卷发布
·
昆明一中2012高三12月月考语文试题及答
·
2011高考新课标全国卷文科综合试题及答
·
2011高考新课标全国卷理科综试题及答案
|
关于我们
|
联系我们
|
版权申明
|
网站导航
|
闽ICP备06019773号