首页
高考
美术高考
成人高考
考研
自考
中考
会考
专升本
高校
公务员
导游考试
更多
自主招生
|
保送生
|
艺术特长生
|
高水平运动员
|
空乘民航招飞
|
军校国防生
|
空军招飞
|
高考作文
|
大学排行榜
|
中考分数线
|
中考查分
3773考试网
-
高考
-
高考试题答案
- 正文
北京
上海
广东
山东
江苏
浙江
湖北
四川
天津
陕西
湖南
福建
重庆
安徽
辽宁
江西
海南
宁夏
吉林
山西
广西
云南
新疆
黑龙江
青海
甘肃
西藏
河北
贵州
河南
内蒙古
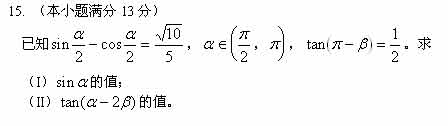
2005年北京东城区高三第三次模拟(数学理科卷)
来源:考无忧试题网
2005-6-1 15:32:23
您可能喜欢的文章
2016高考录取10大常见问题 录取结果查询方式
教育部2016年高考录取工作的通知
全国学生资助管理中心致高考生的公开信
2016年高考使用全国123卷省份名单
2016全国高考考生人数共940万人
教育部和各省开通2016年高考举报电话
教育部2016年高考招生安全稳定工作视频会召
2016高考各省、各部门高校招生计划
2016年部分地区跨省生源计划调控方案
2016年支援中西部地区招生协作计划实施方案
上一个文章:
2005年北京东城区高三第三次模拟练习(英语卷)
网站版权与免责声明
①由于各方面情况的不断调整与变化,本网所提供的相关信息请以权威部门公布的正式信息为准.
②本网转载的文/图等稿件出于非商业性目的,如转载稿涉及版权及个人隐私等问题,请在两周内邮件fjksw@163.com联系.
最新文章
·
2016高考试题及答案考后发布
·
教育部考试中心专家解析2016高考文综
·
2016全国1卷试题及答案
·
2016全国3卷试题及答案
·
2016全国2卷试题及答案
·
2016全国卷1真题及答案第一时间发布
·
2016重庆高考试题及答案及时发布
·
2016重庆高考答案及时发布
·
2016贵州高考答案及时发布
·
2016四川高考试题及答案及时发布
·
2016云南高考答案及时发布
·
2016云南高考试题及答案及时发布
·
2016海南高考试题及答案及时发布
·
2016海南高考答案及时发布
·
2016广西高考试题及答案
推荐文章
·
2016高考试题及答案考后发布
·
2016全国1卷试题及答案
·
2016全国3卷试题及答案
·
2016全国2卷试题及答案
·
2016全国卷1真题及答案第一时间发布
·
2016云南高考试题及答案及时发布
·
2016海南高考试题及答案及时发布
·
2016广西高考试题及答案
·
2016广东高考试题及答案及时发布
·
2016湖南高考试题及答案及时发布
·
2016湖北高考试题及答案
·
2016江西高考试题及答案及时发布
·
2016江苏高考试题及答案及时发布
·
2016安徽高考试题及答案
·
2016山东高考试题及答案及时发布
|
关于我们
|
联系我们
|
版权申明
|
网站导航
|
手机版
琼ICP备12003406号