学历类
|
阳光高考
美术高考
研究生
自考
成人高考
专升本
中考
会考
外语类|
四 六 级
职称英语
商务英语
公共英语
日语能力
资格类
|
公 务 员
报 关 员
银行从业
司法考试
导 游 证
教师资格
财会类|
会 计 证
经 济 师
会计职称
注册会计
税 务 师
工程类
|
一级建造
二级建造
造 价 师
造 价 员
咨 询 师
监 理 师
医学类|
卫生资格
执业医师
执业药师
执业护士
国际护士
计算机
|
等级考试
软件水平
应用能力
其它类
|
论文
驾照考试
书法等级
少儿英语
报检员
单证员
教案
专题
考试资讯
文档
3773考试网
-
高考
-
全国高考
-
贵州高考
- 正文
2013高考
福建高考
福建省质检
各省高考
历年资料
高考志愿
录取分数线
招生计划
高校招生
录取查询
招生章程
成绩查询
招生简章
高校专业
高考试题答案
高考满分作文
高考作文
高考政策
高考模拟题
招生专业
高考大纲
心理减压
高考状元
自主招生
保送生
公安警察院校招生
美术高考
高校频道
高校分数线
各省分数线
全国高考
北京
上海
广东
山东
江苏
浙江
湖北
四川
天津
陕西
湖南
福建
重庆
安徽
辽宁
江西
海南
宁夏
吉林
山西
广西
云南
新疆
黑龙江
青海
甘肃
西藏
河北
贵州
河南
内蒙古
香港
澳门
上海春季高考
天津春季高考
山东春季高考
福建高职单招
重庆高职单招
浙江高职单招
吉林高职单招
单独招生
港澳台联招
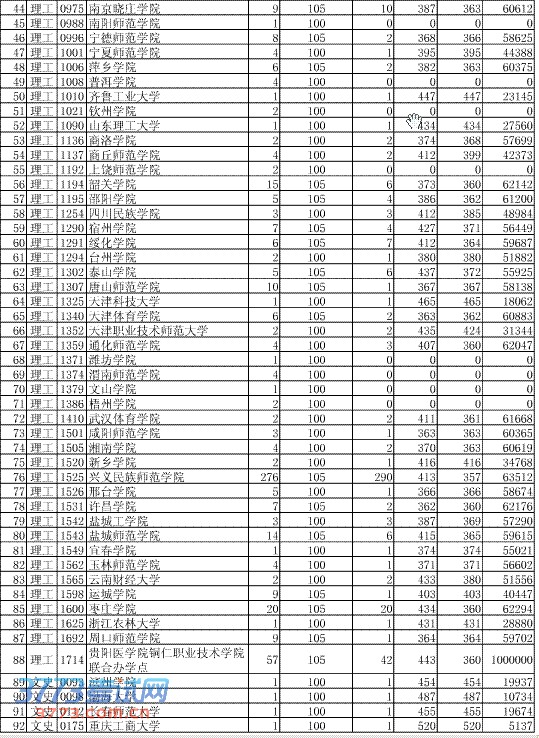
2013贵州高考二本第二次补录投档分数线(7月27日)
来源:省招生考试院
2013-7-27 21:26:29
贵州省2013年高考第二批本科第二次补报志愿平行志愿投档情况(7月27日)
2013贵州高考三本专科网上填报志愿说明
北京社会管理职业学院对贵州籍学生优惠政策介绍
2013贵州高考三本专科志愿填报28日至30
2013年7月26日贵州二本补录文科投档分数线
2013年7月26日贵州二本补录理科投档分数线
2013年7月26日贵州高考二本院校录取分数线
2013年7月26日贵州高考体育类三本录取分数线
2013贵州高考二本高校第2次网上补报志愿说明
2013贵州高考二本第2次补报志愿文科缺额计划
2013贵州高考二本第2次补报志愿理科缺额计划
贵州省2013年中职单报高职分数段统计表
2013贵州高考二本第2次补报志愿27日10时前
2013贵州高考二本补录文科院校投档分数线
2013贵州高考二本补录理科院校投档分数线
2013年7月25日贵州高考二本院校录取分数线
分享到:
QQ空间
新浪微博
腾讯微博
人人网
上一个文章:
2013贵州高考三本专科网上填报志愿说明
网站版权与免责声明
①由于各方面情况的不断调整与变化,本网所提供的相关信息请以权威部门公布的正式信息为准.
②本网转载的文/图等稿件出于非商业性目的,如转载稿涉及版权等问题,请在两周内来电联系.
热门专题
·
英语四六级查分
·
高考试题及答案
·
中考录取查询
·
中考分数线
·
中考试题答案网
·
中考作文网
·
中考查分网
·
卓越联盟自主招生
·
华约自主招生AAA测试
·
北约自主招生
·
高考零分作文
·
高考查分网
更多专题
推荐文章
·
2013贵州高考三本专科网上填报志愿说明
·
2013贵州高考二本高校第2次网上补报志
·
2013贵州高考二本院校补录补报志愿说明
·
2013年7月22日贵州高考二本投档分数线
·
2013贵州高考二本文科类院校投档分数线
·
2013年7月20日贵州艺术类二本院校录取
·
2013年7月19日贵州高考一本院校录取分
·
2013年7月18日贵州高考一本院校录取分
·
2013贵州高考贫困专项计划一本体育二本
·
2013年7月17日贵州艺术类二本部分院校
·
2013年7月17日贵州高考一本院校录取情
·
2013年7月16日贵州高考一本理科投档分
·
2013年7月16日贵州高考一本文科投档分
·
2013年9月贵州高考英语听力考试报名通
·
2013年贵州高考录取工作时间安排
|
关于我们
|
联系我们
|
版权申明
|
网站导航
|
琼ICP备12003406号