学历类
|
阳光高考
研 究 生
自学考试
成人高考
专 升 本
中考
会考
外语类|
四 六 级
职称英语
商务英语
公共英语
日语能力
资格类
|
公 务 员
报 关 员
银行从业
司法考试
导 游 证
教师资格
财会类|
会 计 证
经 济 师
会计职称
注册会计
税 务 师
工程类
|
一级建造
二级建造
造 价 师
造 价 员
咨 询 师
监 理 师
医学类|
卫生资格
执业医师
执业药师
执业护士
国际护士
计算机
|
等级考试
软件水平
应用能力
其它类
|
书画等级
美国高考
驾 驶 员
书法等级
少儿英语
报 检 员
单 证 员
出国留学
招生考试网
-
高考
-
分省高考动态
-
山东高考
- 正文
高考首页
福建高考
福建省质检
各省高考
历年资料
高考志愿
录取分数线
招生计划
高校招生
录取查询
招生章程
成绩查询
招生简章
高校专业
高考试题
高考作文
高考政策
高考辅导
招生专业
高考大纲
心理减压
高考状元
高招诈骗
高考工具
高中新课程
艺术高考
高校频道
历年分数线查询
全国高考
北京高考
上海高考
广东高考
山东高考
江苏高考
浙江高考
湖北高考
四川高考
天津高考
陕西高考
湖南高考
福建高考
重庆高考
安徽高考
辽宁高考
江西高考
海南高考
宁夏高考
吉林高考
山西高考
广西高考
云南高考
新疆高考
黑龙江高考
青海高考
甘肃高考
西藏高考
河北高考
贵州高考
河南高考
内蒙古高考
香港
澳门
上海春季高考
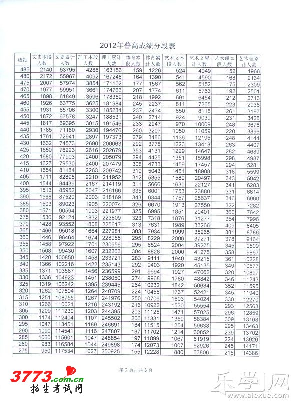
2012年山东省高考成绩五分一段表
来源:2exam.com
2012-6-24 19:00:00
2012年山东省
高考
成绩五分一段表:
山东本科录取线今天公布 15时起可查高考成绩
2012山东高考本科录取分数线也将发布
2012年青岛高考成绩今日下午公布
2012山东高考分数线公布高考成绩查询下午开通
2012山东高考成绩15点起可查:省教育招生考试院网站
2012山东高考成绩分数最快24日15时出炉
2012年山东省高招录取从7月2日开始
2012山东高考成绩本科分数线24日公布
预计6月24日下午公布2012山东高考成绩查询
2012山东高考本科分数线24日公布 两种方式查成绩
2012山东高考考试成绩及分数线24日公布
德国五所公立大学山东高考本科项目招生说明会
2012山东高考志愿填报时间29日开始
2012年山东填报志愿网报志愿超时视为自动放弃
山东2012年本专科招生来源计划公布 军艺体类相关说明
分享到:
QQ空间
新浪微博
腾讯微博
人人网
上一个文章:
山东本科录取线今天公布 15时起可查高考成绩
下一个文章: 没有了
网站版权与免责声明
①由于各方面情况的不断调整与变化,本网所提供的相关信息请以权威部门公布的正式信息为准.
②本网转载的文/图等稿件出于非商业性目的,如转载稿涉及版权等问题,请在两周内来电联系.
热门文章
·
山东2011二本录取惊现零投档 几十所院
·
山东2011高考录取结果查询
·
2011山东高考成绩下午三点开通
·
2011年山东省高考成绩查询
·
山东2011高考成绩24日下午2时30分发布
·
2011山东省高考成绩23日公布 今年避免
·
2011年山东高考试卷开始统分 数学成绩
·
2011年山东普通高考网上填报志愿
·
山东2011高招本科二批仍设“三条线”高
·
山东省公布2011高招本科录取分数线划定
·
山东“新二本”变成“巨无霸”专家教你
·
山东2011高考语文作文批出今年首个满分
·
2011年山东高考卷文科数学考题解析
·
2011年山东高考卷文科数学考题解析
·
2011年山东高考成绩查询查分方式
热门专题
·
中考试题答案网
·
高考零分作文
·
中考作文网
·
高考查分网
·
中考查分网
·
港澳台联招
·
公安警察院校招生
·
免费师范生
·
高考网上填报志愿
·
军校招生网_国防生招生_军校名单
·
成绩查询、录取查询、网上报名系统
·
考试报名考试时间提醒
更多专题
推荐文章
·
2012山东高考成绩15点起可查:省教育招
·
山东2012年高考日语试题及答案
·
2012年山东高考语文卷试题答案发布
·
2012年山东高考体育专业测试合格分数线
·
关于做好山东省2012年部分国家示范性高
·
山东2011二本一志愿投档出人意料热门不
·
2011年山东普通高考网上填报志愿
·
2011年山东高考卷文科数学考题解析
·
2011年山东高考卷文科数学考题解析
·
山东省2011高考基本能力试题
·
山东潍坊2011二模数学文科试题及答案
·
山东潍坊2011二模数学理科试题及答案
·
山东潍坊2011二模语文试题及答案
·
2010年山东省专二第二次征集志愿院校投
·
2010年山东省专科二批第二次征集志愿院
|
关于我们
|
联系我们
|
版权申明
|
网站导航
|
最近更新
|
闽ICP备06019773号