首页
高考
美术高考
成人高考
考研
自考
中考
会考
专升本
高校
公务员
导游考试
更多
自主招生
|
保送生
|
艺术特长生
|
高水平运动员
|
空乘民航招飞
|
军校国防生
|
空军招飞
|
高考作文
|
大学排行榜
|
中考分数线
|
中考查分
3773考试网
-
高考
-
全国高考
-
四川高考
- 正文
北京
上海
广东
山东
江苏
浙江
湖北
四川
天津
陕西
湖南
福建
重庆
安徽
辽宁
江西
海南
宁夏
吉林
山西
广西
云南
新疆
黑龙江
青海
甘肃
西藏
河北
贵州
河南
内蒙古
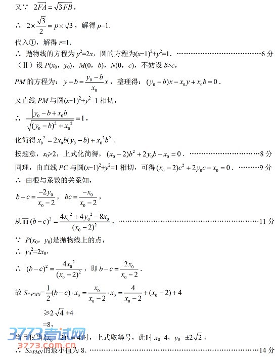
2014绵阳三诊数学文科答案及评分标准
来源:2exam.com
2014-4-22 19:27:54
2014绵阳三诊考试是绵阳市对高三考生一次重要的诊断性摸底考试,旨在了解学生目前所具有的实际水平。
本次考试是2014年高考前非常重要的一次模拟考试,它结合了2014年高考大纲的最新规定的内容与要求,请广大考生引起重视。
推荐阅读:
2014绵阳三诊各科试题及答案汇总
上一页
1
2
您可能喜欢的文章
2014绵阳三诊数学理科答案及评分标准
2014绵阳三诊英语答案及评分标准
2014绵阳三诊理综物理答案及评分标准
2014绵阳三诊理综生物答案及评分标准
2014绵阳三诊文综历史答案及评分标准
2014绵阳三诊文综政治答案及评分标准
2014绵阳三诊文综地理答案及评分标准
2014绵阳三诊理综化学答案及评分标准
2014四川高考语文考试大纲解读
2014四川高考数学考试大纲解读
上一个文章:
2014绵阳三诊数学理科答案及评分标准
网站版权与免责声明
①由于各方面情况的不断调整与变化,本网所提供的相关信息请以权威部门公布的正式信息为准.
②本网转载的文/图等稿件出于非商业性目的,如转载稿涉及版权及个人隐私等问题,请在两周内邮件fjksw@163.com联系.
最新文章
·
2014绵阳三诊数学文科答案及评分标准
·
2014绵阳三诊数学理科答案及评分标准
·
2014绵阳三诊英语答案及评分标准
·
2014绵阳三诊理综物理答案及评分标准
·
2014绵阳三诊理综生物答案及评分标准
·
2014绵阳三诊文综历史答案及评分标准
·
2014绵阳三诊文综政治答案及评分标准
·
2014绵阳三诊文综地理答案及评分标准
·
2014绵阳三诊理综化学答案及评分标准
·
2014四川高考语文考试大纲解读
·
2014四川高考数学考试大纲解读
·
2014四川高考英语考试大纲解读
·
2014四川高考物理考试大纲解读
·
2014四川高考化学考试大纲解读
·
2014四川高考生物考试大纲解读
推荐文章
·
2014绵阳三诊理综化学答案及评分标准
·
关于做好2014年四川高水平运动员工作的
·
2014四川高考民族预科直升工作的通知
·
2014成都二诊数学文科答案及评分标准
·
2014成都二诊数学理科答案及评分标准
·
2014成都二诊语文答案及评分标准
·
四川阿坝州随迁子女异地高考中考实施方
·
绵阳招生考试网2014绵阳高考报名系统入
·
2014四川高考网上报名系统考生手册
·
2014年四川高考报名工作细则
·
2014四川成都高考报名时间网址gkbm.cdz
·
关于做好2014年四川高考报名工作的通知
·
2014年成都外国语学校外语类保送预备生
·
2014四川高考报名时间确定
·
2013四川高考体育类补录院校及专业计划
|
关于我们
|
联系我们
|
版权申明
|
网站导航
|
琼ICP备12003406号