首页
高考
美术高考
成人高考
考研
自考
中考
会考
专升本
高校
公务员
导游考试
更多
自主招生
|
保送生
|
艺术特长生
|
高水平运动员
|
空乘民航招飞
|
军校国防生
|
空军招飞
|
高考作文
|
大学排行榜
|
中考分数线
|
中考查分
3773考试网
-
高考
-
高考模拟题
-
高考数学
- 正文
北京
上海
广东
山东
江苏
浙江
湖北
四川
天津
陕西
湖南
福建
重庆
安徽
辽宁
江西
海南
宁夏
吉林
山西
广西
云南
新疆
黑龙江
青海
甘肃
西藏
河北
贵州
河南
内蒙古
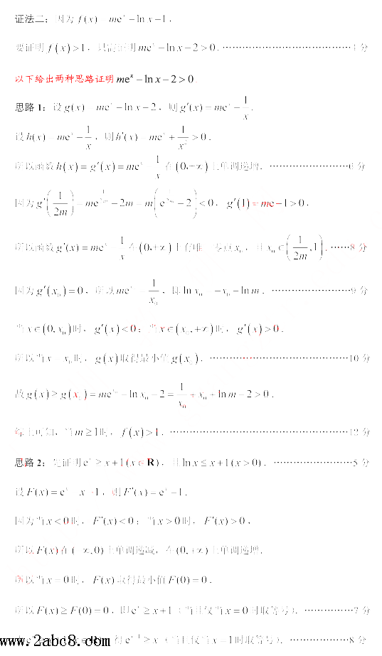
2016广州一模数学文科试题及答案(广州一测)
来源:2exam.com
2016-3-17 21:03:17
上一页
1
2
3
4
5
6
7
8
9
下一页
您可能喜欢的文章
2016广州一模理综试题及答案(广州一测)
2016广州一模英语试题及答案(广州一测)
2016广州一模文综试题及答案(广州一测)
2016广东省外语艺术职业学院舞蹈表演专业五
广东省教育厅2016广东高考招生章程制定工作
2016广东高考补报名3月16日至20日
2016广东高考政策盘点 录取批次2A2B合并
2016广东高考英语听说考试 指纹身份验证防替
广东省新高考改革方案 志愿填报不再局限于文
2016广东中山高考英语听说考试注意事项
上一个文章:
2016山西高三一模数学文科试题及答案
网站版权与免责声明
①由于各方面情况的不断调整与变化,本网所提供的相关信息请以权威部门公布的正式信息为准.
②本网转载的文/图等稿件出于非商业性目的,如转载稿涉及版权及个人隐私等问题,请在两周内邮件fjksw@163.com联系.
最新文章
·
2016广州一模数学文科试题及答案(广州一
·
2016山西高三一模数学文科试题及答案
·
2016洛阳高三二练数学试题答案
·
2016甘肃一诊数学试题及答案发布
·
2016年3月龙岩市质检数学文科试题及答案
·
2016年3月龙岩市质检数学试题及答案
·
2016许昌平顶山新乡高三二模数学理科试
·
2016年3月福州市质检数学试题及答案
·
2016许昌平顶山新乡高三二模文科数学试
·
2016年3月福州高三市质检数学文科试题及
·
2016泉州高三质检数学理科试题答案
·
2016南平高三市质检数学理科试题答案
·
2016泉州高三质检文科数学试题答案
·
2016唐山一模数学文科试题及答案
·
2016唐山一模数学理科试题及答案
推荐文章
·
2016山西高三一模数学文科试题及答案
·
2016洛阳高三二练数学试题答案
·
2016甘肃一诊数学试题及答案发布
·
2016年3月龙岩市质检数学文科试题及答案
·
2016许昌平顶山新乡高三二模数学理科试
·
2016年3月福州市质检数学试题及答案
·
2016年3月福州高三市质检数学文科试题及
·
2016南平高三市质检数学理科试题答案
·
2016泉州高三质检文科数学试题答案
·
2016唐山一模数学文科试题及答案
·
2016唐山一模数学理科试题及答案
·
2016东北三省三校一模文科数学试题及答
·
2016莆田市质检理科数学试题答案及评分
·
2016梅州一模数学理科答案及评分标准
·
2016武汉二月调考数学理科答案及评分标
|
关于我们
|
联系我们
|
版权申明
|
网站导航
|
琼ICP备12003406号