首页
高考
美术高考
成人高考
考研
自考
中考
会考
专升本
高校
公务员
导游考试
更多
自主招生
|
保送生
|
艺术特长生
|
高水平运动员
|
空乘民航招飞
|
军校国防生
|
空军招飞
|
高考作文
|
大学排行榜
|
中考分数线
|
中考查分
3773考试网
-
2016高考
-
全国高考
-
云南高考
- 正文
北京
上海
广东
山东
江苏
浙江
湖北
四川
天津
陕西
湖南
福建
重庆
安徽
辽宁
江西
海南
宁夏
吉林
山西
广西
云南
新疆
黑龙江
青海
甘肃
西藏
河北
贵州
河南
内蒙古
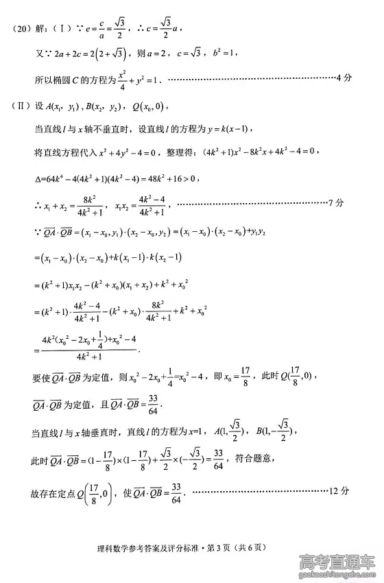
2016昆明高考适应性考试数学理科试题答案
来源:2exam.com
2016-5-7 7:55:40
上一页
1
2
3
下一页
您可能喜欢的文章
2016云南高考二模英语试题及答案免费版
2016云南二模英语试题答案发布
2016云南二模理综试题答案免费版
2016云南省二模文综试题答案免费版
2016云南二模语文试题及答案免费版
2016云南二模数学文科试题及答案免费版
2016云南二模数学理科试题及答案免费版
2016云南高考体育专业单招文化考试打印准考
2016云南经济管理学院单招考核名单公示
2016云南交通职业技术学院单招考核名单公示
上一个文章:
2016云南高考体育专业单招文化考试打印准考证
网站版权与免责声明
①由于各方面情况的不断调整与变化,本网所提供的相关信息请以权威部门公布的正式信息为准.
②本网转载的文/图等稿件出于非商业性目的,如转载稿涉及版权及个人隐私等问题,请在两周内邮件fjksw@163.com联系.
最新文章
·
2016昆明高考适应性考试数学理科试题答
·
2016云南高考体育专业单招文化考试打印
·
2016云南高考听力成绩查询查分入口-云南
·
2016云南酒店管理旅游管理专业招收三校
·
2016年南方科技大学云南高考招生咨询会
·
香港浸会大学2016年云南招生说明会
·
2016年3月云南高考英语听力成绩查询入口
·
2016香港中文大学深圳昆明招生宣讲会时
·
2016云南省高校自主招生报名10日开始
·
2016中国民用航空飞行学院云南空乘招生
·
2016年12所香港高校招生信息政策改变
·
2016年南方科技大学在云南招生计划25人
·
2016云南8所省级高职联盟院校单独招生6
·
2016云南高职单独招生网上报名25日至31
·
2016香港城市大学内地招生计划约210人
推荐文章
·
2016云南高考听力成绩查询查分入口-云南
·
云南省招生考试院2016云南高考报名工作
·
2016云南高考报名网站入口-云南省招生考
·
2016云南高考报名入口-云南省招生考试工
·
2016云南高考网上报名考生须知
·
2016云南高考报名时间方式须知
·
2015年9月云南英语听力口语考试成绩查询
·
2015年8月20日云南高考录取分数线日报
·
2015年8月18日云南高考录取分数线日报
·
2015年8月17日云南高考录取分数线日报
·
2015年8月16日云南高考录取分数线日报
·
2015年8月15日云南高考录取分数线日报
·
2015年8月14日云南高考录取分数线日报
·
2015年8月13日云南高考录取分数线日报
·
云南省招考频道2015高考录取结果查询入
|
关于我们
|
联系我们
|
版权申明
|
网站导航
|
琼ICP备12003406号