学历类
|
阳光高考
美术高考
研究生
自考
成人高考
专升本
中考
会考
外语类|
四 六 级
职称英语
商务英语
公共英语
日语能力
资格类
|
公 务 员
报 关 员
银行从业
司法考试
导 游 证
教师资格
财会类|
会 计 证
经 济 师
会计职称
注册会计
税 务 师
工程类
|
一级建造
二级建造
造 价 师
造 价 员
咨 询 师
监 理 师
医学类|
卫生资格
执业医师
执业药师
执业护士
国际护士
计算机
|
等级考试
软件水平
应用能力
其它类
|
论文
驾照考试
书法等级
少儿英语
报检员
单证员
教案
专题
考试资讯
文档
3773考试网
-
高考
-
全国高考
-
云南高考
- 正文
2013高考
福建高考
福建省质检
各省高考
历年资料
高考志愿
录取分数线
招生计划
高校招生
录取查询
招生章程
成绩查询
招生简章
高校专业
高考试题答案
高考满分作文
高考作文
高考政策
高考模拟题
招生专业
高考大纲
心理减压
高考状元
自主招生
保送生
公安警察院校招生
美术高考
高校频道
高校分数线
各省分数线
全国高考
北京
上海
广东
山东
江苏
浙江
湖北
四川
天津
陕西
湖南
福建
重庆
安徽
辽宁
江西
海南
宁夏
吉林
山西
广西
云南
新疆
黑龙江
青海
甘肃
西藏
河北
贵州
河南
内蒙古
香港
澳门
上海春季高考
天津春季高考
山东春季高考
福建高职单招
重庆高职单招
浙江高职单招
吉林高职单招
单独招生
港澳台联招
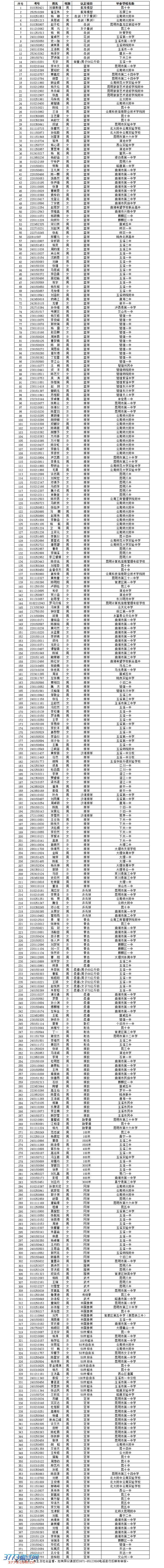
2013云南高考获得二级运动员证书的考生名单
来源:云南考试院
2013-6-20 19:34:48
云南省二○一三年参加普通高校招生全国统一考试获得二级运动员证书的考生公示名单
2013云南大学招生计划
2013云南高考成绩查询系统入口
云南2013高考录取分数线预测
中南大学2013年综合评价录取云南招生简章
中南大学2013年综合评价录取云南招生政策解读
清华大学北京大学2013云南招生计划公布
云南省2013年公安院校招生工作启动
南京森林警察学院2013云南招生计划
铁道警察学院2013云南招生计划
公安海警学院2013云南招生计划
中国人民武装警察部队学院2013云南招生计划
中国刑事警察学院2013云南招生计划
中国人民公安大学2013云南招生计划
2013年昆明医科大学法医专业云南招生计划
2013年云南警官学院公安专业省内定向招生计划表
分享到:
QQ空间
新浪微博
腾讯微博
人人网
上一个文章:
2013云南大学招生计划
网站版权与免责声明
①由于各方面情况的不断调整与变化,本网所提供的相关信息请以权威部门公布的正式信息为准.
②本网转载的文/图等稿件出于非商业性目的,如转载稿涉及版权等问题,请在两周内来电联系.
热门专题
·
英语四六级查分
·
高考试题及答案
·
中考录取查询
·
中考分数线
·
中考试题答案网
·
中考作文网
·
中考查分网
·
卓越联盟自主招生
·
华约自主招生AAA测试
·
北约自主招生
·
高考零分作文
·
高考查分网
更多专题
推荐文章
·
2013云南高考成绩查询系统入口
·
云南省2013年公安院校招生工作启动
·
2013云南高考网上填报志愿考生须知
·
2013云南高考填报志愿流程
·
2005-2012年云南高考录取分数线切线
·
2013云南高考试题及答案发布
·
2013云南高考理综试题及答案部分
·
2013云南高考语文试题试卷
·
2013云南高考数学文科试题试卷
·
2013云南高考数学理科试题(新课标1卷)
·
2013云南高考数学理科试题及答案
·
2013云南高考基本情况及工作安排
·
2012年云南高考专科补录征集志愿于9月
·
2012年云南高考专二第二次征集志愿招生
·
2012年云南省高考二批专科征集志愿招生
|
关于我们
|
联系我们
|
版权申明
|
网站导航
|
琼ICP备12003406号