首页
高考
美术高考
成人高考
考研
自考
中考
会考
专升本
高校
公务员
导游考试
更多
自主招生
|
保送生
|
艺术特长生
|
高水平运动员
|
空乘民航招飞
|
军校国防生
|
空军招飞
|
高考作文
|
大学排行榜
|
中考分数线
|
中考查分
3773考试网
-
高考
-
各省高考分数线
-
辽宁
- 正文
北京
上海
广东
山东
江苏
浙江
湖北
四川
天津
陕西
湖南
福建
重庆
安徽
辽宁
江西
海南
宁夏
吉林
山西
广西
云南
新疆
黑龙江
青海
甘肃
西藏
河北
贵州
河南
内蒙古
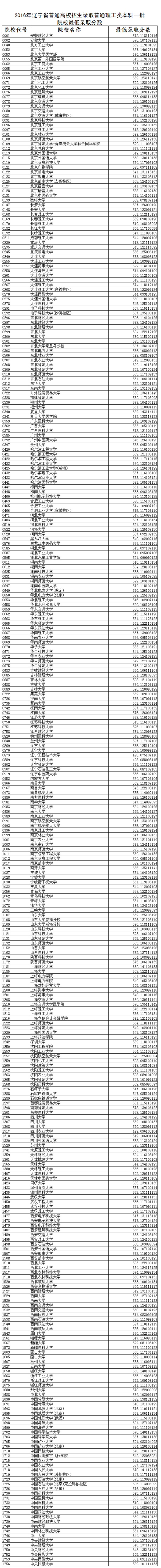
2016辽宁一本各高校录取分数线公布
来源:辽沈晚报
2016-7-23 21:26:09
整体榜单如下:
上一页
[1]
[2]
您可能喜欢的文章
2016辽宁高考一本院校录取分数线公布
2016辽宁一本理科院校录取分数线
2016辽宁文科一本院校录取分数线
2016海城高中理科状元史涵旭被北京大学录取
2016辽宁省内一本院校分数线公布
2016大连9所一本高校录取分数线出炉
2016辽宁部分高校一本录取分数线公布
2016辽宁免费医学定向生招生计划不再征集志
2016辽宁小教师资录取查询院校名单(7月19)
2016辽宁高职三校生本科批录取查询院校名单
上一个文章:
2016辽宁一本理科院校录取分数线
网站版权与免责声明
①由于各方面情况的不断调整与变化,本网所提供的相关信息请以权威部门公布的正式信息为准.
②本网转载的文/图等稿件出于非商业性目的,如转载稿涉及版权及个人隐私等问题,请在两周内邮件fjksw@163.com联系.
最新文章
·
2016辽宁一本各高校录取分数线公布
·
2016辽宁一本理科院校录取分数线
·
2016辽宁文科一本院校录取分数线
·
2016辽宁省内一本院校分数线公布
·
2008-2016年历年辽宁高考分数线
·
2016辽宁高考分数复核有关说明
·
2016辽宁高考高水平运动队分数线公布
·
2016辽宁高考体育类本科专科分数线公
·
2016辽宁高考艺术类专科分数线公布
·
2016辽宁高考艺术类本科分数线公布
·
2016辽宁高考艺术类分数线公布
·
2016辽宁高考专科分数线:文科180分理
·
2016辽宁高考一本分数线:文科525分理
·
2016辽宁高考二本分数线:文科417分理
·
2007-2015年辽宁高考分数线
推荐文章
·
2016辽宁一本各高校录取分数线公布
·
2016辽宁一本理科院校录取分数线
·
2016辽宁文科一本院校录取分数线
·
2008-2016年历年辽宁高考分数线
·
2016辽宁高考艺术类分数线公布
·
2016辽宁高考一本分数线:文科525分理
·
2016辽宁高考二本分数线:文科417分理
·
历年辽宁高考分数线2016
·
2015辽宁高考分数线公布
·
2015辽宁高考二本分数线:文科460分理
·
2015辽宁高考一本分数线:文科530分理
·
辽宁省2014年本科第二批院校文史类最
|
关于我们
|
联系我们
|
版权申明
|
网站导航
|
手机版
琼ICP备12003406号