首页
高考
美术高考
成人高考
考研
自考
中考
会考
专升本
高校
公务员
导游考试
更多
自主招生
|
保送生
|
艺术特长生
|
高水平运动员
|
空乘民航招飞
|
军校国防生
|
空军招飞
|
高考作文
|
大学排行榜
|
中考分数线
|
中考查分
3773考试网
-
2017考研
-
历年真题答案
-
考研数学
- 正文
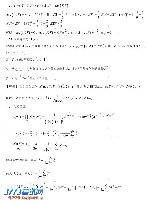
2012考研数学一真题及答案完整版
来源:2exam.com
2012-11-30 11:23:32
2012考研数学一真题完整版(网络版)
您可能喜欢的文章
2016考研管理类综合联考真题及答案
2016考研管理类综合联考试题及答案
2016考研被曝泄题 教育部已报案
2016考研数学二真题及答案(完整版)
2016东北师范大学631教育基础综合真题分析
2016南京师范大学629教育基础综合真题分析
2016首都师范大学774教育基础综合真题分析
2016天津大学734教育学试题解析(勤思考研)
2016考研经济类联考数学真题及答案解析
2016考研311教育学综合真题及答案解析
上一个文章:
2012研究生考试数学一试题完整版
网站版权与免责声明
①由于各方面情况的不断调整与变化,本网所提供的相关信息请以权威部门公布的正式信息为准.
②本网转载的文/图等稿件出于非商业性目的,如转载稿涉及版权及个人隐私等问题,请在两周内邮件fjksw@163.com联系.
最新文章
·
2016考研数学三答案发布
·
2016考研数学三真题及答案完整版
·
2016考研数学二真题完整版
·
2016考研数学三真题及答案完整版
·
2016考研数学三试题及答案:选择题
·
2016考研数学三真题及答案:填空题
·
2016考研数学二真题发布
·
2016考研数学一真题及答案完整版
·
2016考研数学:考场结题三大技巧
·
2015考研数学农真题及答案解析
·
2015考研数学一试题及答案及解析完整版
·
2015考研数学一答案
·
2015考研数学一真题答案及解析(部分)
·
2015考研数学试题整体难度分析
·
2015考研数学二答案完整版发布
推荐文章
·
2016考研数学三真题及答案完整版
·
2016考研数学二真题完整版
·
2016考研数学三真题及答案完整版
·
2016考研数学三试题及答案:选择题
·
2016考研数学三真题及答案:填空题
·
2016考研数学一真题及答案完整版
·
2015考研数学农真题及答案解析
·
2015考研数学一试题及答案及解析完整版
·
2015考研数学一答案
·
2015考研数学二答案完整版发布
·
2015考研数学三答案完整版
·
2015考研数学二真题及答案完整版
·
2015考研数学三真题试卷(完整版)
·
2015考研数学二答案:解答题23题
·
2015考研数学二真题试题(图片版)
|
关于我们
|
联系我们
|
版权申明
|
网站导航
|
琼ICP备12003406号