首页
高考
美术高考
成人高考
考研
自考
中考
会考
专升本
高校
公务员
导游考试
更多
自主招生
|
保送生
|
艺术特长生
|
高水平运动员
|
空乘民航招飞
|
军校国防生
|
空军招飞
|
高考作文
|
大学排行榜
|
中考分数线
|
中考查分
3773考试网
-
艺考
-
艺考资讯
- 正文
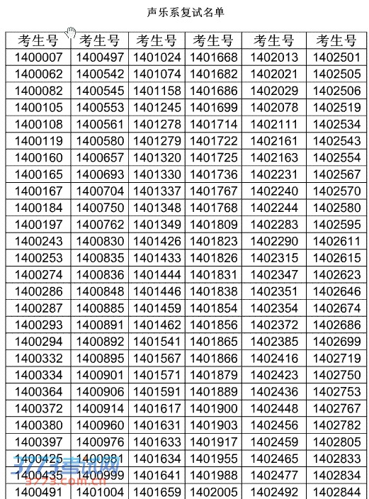
星海音乐学院2014年声乐系专业考试复试名单
来源:星海音乐学院
2014-3-5 17:59:07
2014年本科招生考试复试名单(声乐系)
您可能喜欢的文章
星海音乐学院2014年舞蹈表演与教育专业考试复试名单
星海音乐学院2014年舞蹈与音乐专业考试复试名单
星海音乐学院2014年本科招生考试日程表
星海音乐学院2014年广东省考生补报社会音乐管理专业的通知
星海音乐学院2014年艺术管理专业招生简章(广东)
星海音乐学院2014年北京考点招生简章
星海音乐学院2014年上海考点招生简章
星海音乐学院2014年北京上海考点考试补充通知
星海音乐学院2014年艺术类招生信息(北京)
星海音乐学院2014广东艺术类校考专业考试内容
上一篇文章:
星海音乐学院2014年舞蹈表演与教育专业考试复试名单
网站版权与免责声明
①由于各方面情况的不断调整与变化,本网所提供的相关信息请以权威部门公布的正式信息为准.
②本网转载的文/图等稿件出于非商业性目的,如转载稿涉及版权及个人隐私等问题,请在两周内邮件fjksw@163.com联系.
最新文章
·
星海音乐学院2014年声乐系专业考试复试
·
星海音乐学院2014年舞蹈表演与教育专业
·
星海音乐学院2014年舞蹈与音乐专业考试
·
华中农业大学2014年湖北省美术类考试考
·
广东外语外贸大学2014年播音与主持专业
·
广东外语外贸大学2014年舞蹈表演专业复
·
2014河北传媒学院艺考人数约为60000多人
·
2014年台港澳侨学生报考厦门大学美术类
·
华中科技大学2014年艺术类美术专业测试
·
上海戏剧学院作曲与作曲技术理论专业三
·
星海音乐学院2014年本科招生考试日程表
·
武汉大学食宿与交通指南
·
武汉大学2014年艺术类专业考试考生服务
·
2014梧州学院艺术类专业测试成绩查询时
·
安徽师范大学2014年舞蹈表演I考试时间安
推荐文章
·
沈阳音乐学院2014年专业考试复试须知
·
2014中央音乐学院各专业复试考试安排
·
天津美术学院2014年本科专业考试时间安
·
天津体育学院2014年艺术类招生考试时间
·
北京电影学院表演系2014年复试名单查询
·
天津音乐学院2014年报名现场确认相关通
·
北京服装学院2014年艺术类专业考试报考
·
山东艺术学院公共事业管理等专业招收普
·
北京舞蹈学院2014年招生考试各专业考试
·
北京舞蹈学院2014年专业考试考生须知
·
中央音乐学院2014年招生致考生及家长的
·
四川美术学院2014年美术类专业校考报名
·
2014年艺术类专业招生规定政策变化
·
山东工艺美术学院2013年艺术类专业合格
·
山东艺术学院2013年专业合格证发放分数
|
关于我们
|
联系我们
|
版权申明
|
网站导航
|
琼ICP备12003406号