首页
高考
美术高考
成人高考
考研
自考
中考
会考
专升本
高校
公务员
导游考试
更多
自主招生
|
保送生
|
艺术特长生
|
高水平运动员
|
空乘民航招飞
|
军校国防生
|
空军招飞
|
高考作文
|
大学排行榜
|
中考分数线
|
中考查分
3773考试网
-
高考
-
全国高考
-
安徽高考
- 正文
北京
上海
广东
山东
江苏
浙江
湖北
四川
天津
陕西
湖南
福建
重庆
安徽
辽宁
江西
海南
宁夏
吉林
山西
广西
云南
新疆
黑龙江
青海
甘肃
西藏
河北
贵州
河南
内蒙古
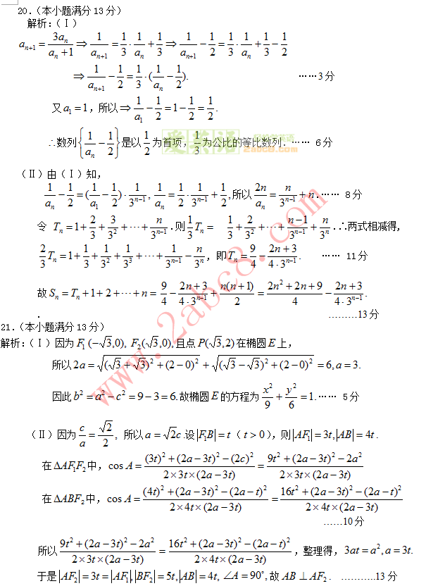
2015安庆高三三模数学试题答案
来源:2exam.com
2015-4-24 16:12:04
上一页
1
2
3
您可能喜欢的文章
2015年4月皖南八校高三三模文综试题及答案
2015皖南八校联考理综答案 皖南八校2015届高
2015安庆三模理综试题答案及评分标准
2015年安庆三模文综试题答案及评分标准
2015安徽高考志愿填报时间及志愿设置
2015安徽高考对口招生高职自主招生录取确认
2015安徽高考考试科目时间安排
2015安徽高考时间科目
2015安徽高考招生工作政策出台
2015安徽合肥市区高考人数24430名增加约900
上一个文章:
2015年4月皖南八校高三三模文综试题及答案
网站版权与免责声明
①由于各方面情况的不断调整与变化,本网所提供的相关信息请以权威部门公布的正式信息为准.
②本网转载的文/图等稿件出于非商业性目的,如转载稿涉及版权及个人隐私等问题,请在两周内邮件fjksw@163.com联系.
最新文章
·
2015安庆高三三模数学试题答案
·
2015年4月皖南八校高三三模文综试题及答
·
2015皖南八校联考理综答案 皖南八校201
·
2015安庆三模理综试题答案及评分标准
·
2015年安庆三模文综试题答案及评分标准
·
2015安徽高考志愿填报时间及志愿设置
·
2015安徽高考对口招生高职自主招生录取
·
2015安徽高考考试科目时间安排
·
2015安徽高考时间科目
·
2015安徽高考招生工作政策出台
·
2015安徽合肥市区高考人数24430名增加约
·
2015安徽高考农村学生单独招生开始报名
·
2015年安徽重点高校招收农村学生实施办
·
2015中国科学技术大学自强计划招生农村
·
2015安徽高考方案变化:录取批次新增一
推荐文章
·
2015安徽高考对口招生高职自主招生录取
·
2015安徽高考招生工作政策出台
·
2015安徽高考招生工作实施意见
·
安徽省2015年重点高校招收农村学生工作
·
2015合肥二模文综答案及评分标准
·
2015合肥二模理综答案及评分标准
·
2015合肥二模英语答案及评分标准
·
2015合肥二模语文试题答案及评分标准
·
2015合肥二模数学理科试题答案及评分标
·
2015合肥二模文科数学试题答案及评分标
·
2015安徽体育统考招生专业课考试简章
·
2015合肥一模数学理答案及评分标准
·
2015合肥一模数学文答案及评分标准
·
2015合肥一模政治答案及评分标准
·
2015合肥一模历史答案及评分标准
|
关于我们
|
联系我们
|
版权申明
|
网站导航
|
琼ICP备12003406号