学历类
|
阳光高考
美术高考
研究生
自考
成人高考
专升本
中考
会考
外语类|
四 六 级
职称英语
商务英语
公共英语
日语能力
资格类
|
公 务 员
报 关 员
银行从业
司法考试
导 游 证
教师资格
财会类|
会 计 证
经 济 师
会计职称
注册会计
税 务 师
工程类
|
一级建造
二级建造
造 价 师
造 价 员
咨 询 师
监 理 师
医学类|
卫生资格
执业医师
执业药师
执业护士
国际护士
计算机
|
等级考试
软件水平
应用能力
其它类
|
论文
驾照考试
书法等级
少儿英语
报检员
单证员
教案
专题
考试资讯
文档
3773考试网
-
高考
-
全国高考
-
安徽高考
- 正文
2013高考
福建高考
福建省质检
各省高考
历年资料
高考志愿
录取分数线
招生计划
高校招生
录取查询
招生章程
成绩查询
招生简章
高校专业
高考试题答案
高考满分作文
高考作文
高考政策
高考模拟题
招生专业
高考大纲
心理减压
高考状元
自主招生
保送生
公安警察院校招生
美术高考
高校频道
高校分数线
各省分数线
全国高考
北京
上海
广东
山东
江苏
浙江
湖北
四川
天津
陕西
湖南
福建
重庆
安徽
辽宁
江西
海南
宁夏
吉林
山西
广西
云南
新疆
黑龙江
青海
甘肃
西藏
河北
贵州
河南
内蒙古
香港
澳门
上海春季高考
天津春季高考
山东春季高考
福建高职单招
重庆高职单招
浙江高职单招
吉林高职单招
单独招生
港澳台联招
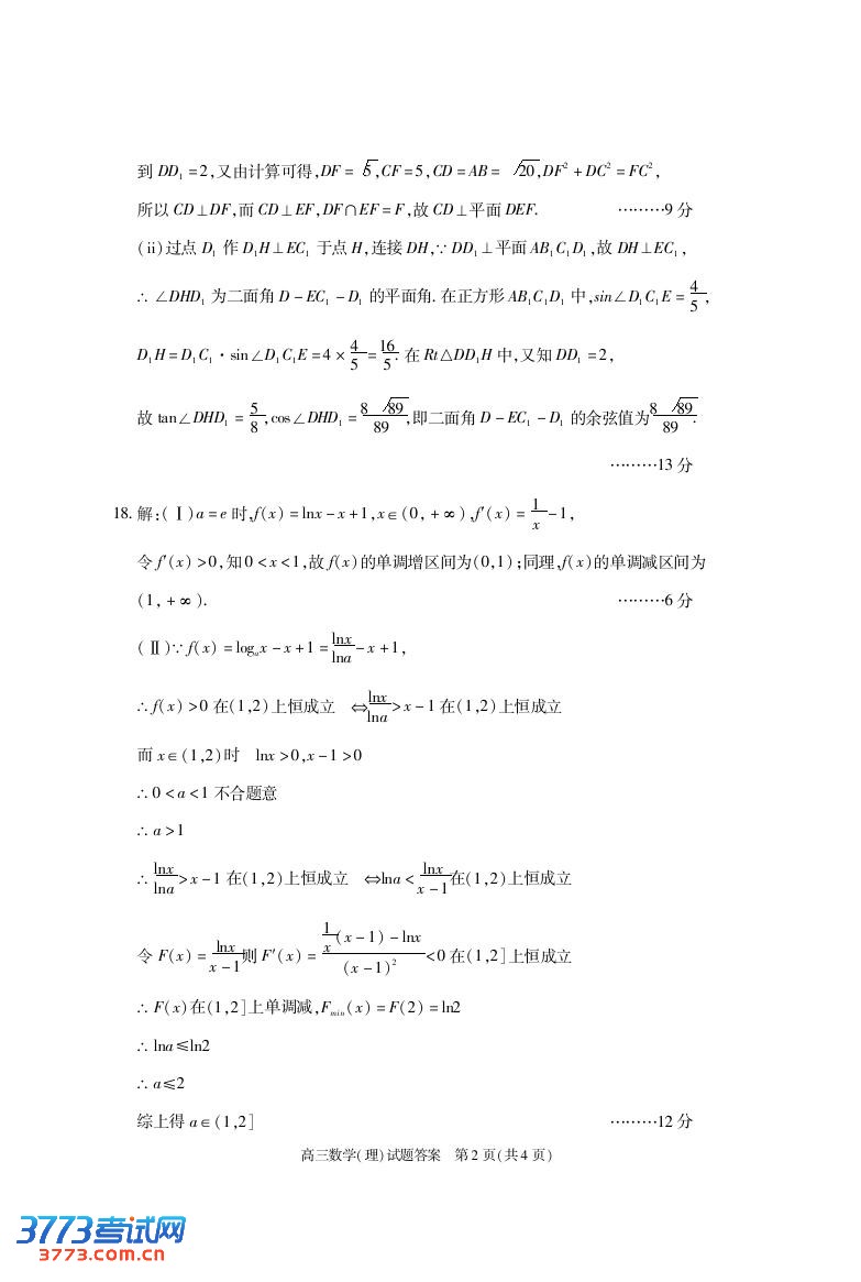
2013合肥高考三模数学理科试题答案
来源:2exam.com
2013-5-18 20:45:57
2013合肥高考三模数学理科试题答案
1
2
3
下一页
2013合肥高考三模语文试题答案
2013合肥高三三模考试科目及时间
2013合肥高考三模考试值班电话
2013合肥高考三模试卷难度或低于二模
2013安徽安庆高考人数75307人
2013安徽高考试卷设5个阅卷点
2013安徽高考试卷评卷由四所高校承担
2013安庆市高考报名人数为75307人
2013合肥三模考试科目及时间
2013年合肥三模抽测考点安排
2013安徽高考网上评卷工作临战状态
2013安庆高考考生人数10589人设9个考点
2013安徽高考报名人数(历年考生人数对比)
2013安徽高招咨询平台院校网上咨询周时间安排表
2006-2012年安徽高考各批次录取分数线
分享到:
QQ空间
新浪微博
腾讯微博
人人网
上一个文章:
2013合肥高考三模语文试题答案
网站版权与免责声明
①由于各方面情况的不断调整与变化,本网所提供的相关信息请以权威部门公布的正式信息为准.
②本网转载的文/图等稿件出于非商业性目的,如转载稿涉及版权等问题,请在两周内来电联系.
热门专题
·
英语四六级查分
·
中考录取查询
·
中考分数线
·
中考试题答案网
·
中考作文网
·
中考查分网
·
异地高考方案
·
卓越联盟自主招生
·
华约自主招生AAA测试
·
北约自主招生
·
高考零分作文
·
高考查分网
更多专题
推荐文章
·
2013合肥高考三模数学理科试题答案
·
2013合肥高考三模语文试题答案
·
2013年安徽高考对口升学考试工作日程
·
安徽省2013年高考招生工作实施意见出台
·
2013年安庆二模成绩分数线
·
2013合肥二模文综答案及评分标准
·
2013合肥二模理综答案评分标准
·
2013合肥二模理综文综试卷答案下载
·
2013年安徽对口招生考试考务管理工作细
·
安徽异地高考考试工作暂行意见的通知
·
安徽省2013年高考考试报名工作11月20日
·
关于做好2013年安徽高考考试报名工作的
·
安徽省2012年高考工作第六次新闻发布会
·
2012安徽高考高职专科院校投档分数线一
·
2012年安徽高考高职专科批次院校投档分
|
关于我们
|
联系我们
|
版权申明
|
网站导航
|
琼ICP备12003406号