学历类
|
阳光高考
美术高考
研究生
自考
成人高考
专升本
中考
会考
外语类|
四 六 级
职称英语
商务英语
公共英语
日语能力
资格类
|
公 务 员
报 关 员
银行从业
司法考试
导 游 证
教师资格
财会类|
会 计 证
经 济 师
会计职称
注册会计
税 务 师
工程类
|
一级建造
二级建造
造 价 师
造 价 员
咨 询 师
监 理 师
医学类|
卫生资格
执业医师
执业药师
执业护士
国际护士
计算机
|
等级考试
软件水平
应用能力
其它类
|
书画等级
驾驶员
书法等级
少儿英语
报 检 员
单证员
地图
专题内容
考试资讯
招生考试网
-
高考
-
全国高考
-
北京高考
- 正文
2013高考
福建高考
福建省质检
各省高考
历年资料
高考志愿
录取分数线
招生计划
高校招生
录取查询
招生章程
成绩查询
招生简章
高校专业
高考试题答案
高考满分作文
高考作文
高考政策
高考辅导
招生专业
高考大纲
心理减压
高考状元
自主招生
保送生
高中新课程
美术高考
高校频道
历年分数线查询
全国高考
北京
上海
广东
山东
江苏
浙江
湖北
四川
天津
陕西
湖南
福建
重庆
安徽
辽宁
江西
海南
宁夏
吉林
山西
广西
云南
新疆
黑龙江
青海
甘肃
西藏
河北
贵州
河南
内蒙古
香港
澳门
上海春季高考
天津春季高考
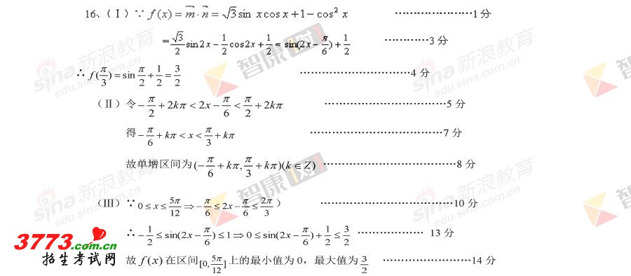
北京六十六中2012高三上学期期中考试文科数学试题答案
来源:2exam.com
2012-11-5 12:40:34
【正确答案】
【答题区域】
【正确答案】
【答题区域】
【正确答案】
北京六十六中2012高三上学期期中考试文科数学试题答案
【答题区域】
【正确答案】
【答题区域】
北京101中2012高三上学期期中考试文科数学试题答案
北京101中2012高三上学期期中考试数学理科试题答案
高三生要重点关注11月份各类考试政策发布
2013年中国民航大学四所院校北京民航招飞通知
2013北京高考生民航招飞面试本周启动
2013年北京自主招生报名考试时间安排
2013年北京高考各类考试时间安排
北京2012年高考文科综合试题及答案
北京2012年高考理科综合试题及答案
北京2012年高考文科数学试题及答案
北京2012年高考理科数学试题及答案
北京2012年高考英语试题及答案
北京2012年高考语文试题及答案
新课标卷2011高考语文作文:中国崛起的特点
北京卷2011高考语文作文:材料作文
分享到:
QQ空间
新浪微博
腾讯微博
人人网
上一个文章:
北京101中2012高三上学期期中考试文科数学试题答案
网站版权与免责声明
①由于各方面情况的不断调整与变化,本网所提供的相关信息请以权威部门公布的正式信息为准.
②本网转载的文/图等稿件出于非商业性目的,如转载稿涉及版权等问题,请在两周内来电联系.
热门专题
·
中考录取查询
·
中考分数线
·
中考试题答案网
·
中考作文网
·
中考查分网
·
卓越联盟自主招生
·
华约自主招生AAA测试
·
北约自主招生
·
高考零分作文
·
高考查分网
·
港澳台联招
·
公安警察院校招生
更多专题
推荐文章
·
北京六十六中2012高三上学期期中考试文
·
北京101中2012高三上学期期中考试文科
·
北京101中2012高三上学期期中考试数学
·
滨州学院2013年在北京招收飞行员报名面
·
中国民用航空飞行学院2013年北京招飞报
·
高三生要重点关注11月份各类考试政策发
·
中国民航大学飞行技术专业2013年在京计
·
关于做好2013年空军航空大学北京招收飞
·
空军航空大学在京招收飞行学员报名表
·
2013空军航空大学在京招收飞行学员工作
·
2013年空军航空大学招飞身体情况摸底方
·
中国民航大学飞行技术专业2013年北京招
·
2013年中国民航大学四所院校北京民航招
·
滨州学院北京首都航空有限公司2013年在
·
2013北京高考生民航招飞面试本周启动
|
关于我们
|
联系我们
|
版权申明
|
网站导航
|
闽ICP备06019773号