首页
高考
美术高考
成人高考
考研
自考
中考
会考
专升本
高校
公务员
导游考试
更多
自主招生
|
保送生
|
艺术特长生
|
高水平运动员
|
空乘民航招飞
|
军校国防生
|
空军招飞
|
高考作文
|
大学排行榜
|
中考分数线
|
中考查分
3773考试网
-
高考
-
全国高考
-
广东高考
- 正文
北京
上海
广东
山东
江苏
浙江
湖北
四川
天津
陕西
湖南
福建
重庆
安徽
辽宁
江西
海南
宁夏
吉林
山西
广西
云南
新疆
黑龙江
青海
甘肃
西藏
河北
贵州
河南
内蒙古
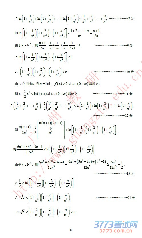
2015广州一模数学理科试题及答案公布
来源:2exam.com
2015-3-19 21:06:24
2015广州一模数学理科试题及答案公布
您可能喜欢的文章
2015广州一模数学文科试题及答案公布
2015广州一测答案及评分标准发布时间
2015广州一模试题及答案评分标准
2015广州一模分数线:文一本551理一本560分
2015广东高职自主招生报名正式启动
2015广东高职院校自主招生报名开始
2015广东高考补报名今日开始
2015广东高考英语听说考试基本结束
2015广州高考英语听说考试今天开考
关于征集2015年广州市高考报考指南宣传彩页
上一个文章:
2015广州一模数学文科试题及答案公布
网站版权与免责声明
①由于各方面情况的不断调整与变化,本网所提供的相关信息请以权威部门公布的正式信息为准.
②本网转载的文/图等稿件出于非商业性目的,如转载稿涉及版权及个人隐私等问题,请在两周内邮件fjksw@163.com联系.
最新文章
·
2015广州一模数学理科试题及答案公布
·
2015广州一模数学文科试题及答案公布
·
2015广州一测答案及评分标准发布时间
·
2015广州一模试题及答案评分标准
·
2015广州一模分数线:文一本551理一本5
·
2015广东高考补报名今日开始
·
2015广东高考英语听说考试基本结束
·
深圳职业技术技术学院2015年五年制招生
·
深圳职业技术技术学院2015年五年制招生
·
深圳职业技术技术学院2015年五年一贯制
·
深圳职业技术技术学院2015五年制招生考
·
2015广东高英语听说考试成绩查询时间方
·
2015广州高考英语听说考试今天开考
·
关于征集2015年广州市高考报考指南宣传
·
2015广东高考英语听说考试深圳设35考点
推荐文章
·
2015广州一模数学理科试题及答案公布
·
2015广州一模数学文科试题及答案公布
·
2015广州一模试题及答案评分标准
·
2015广州一模分数线:文一本551理一本5
·
2015广东五年制高职招生考试报名工作的
·
2015广东高职五年制高职班单独招生考试
·
2015广东高职院校自主招生试点工作的通
·
2015广东高考音乐美术体育术科成绩查询
·
广东省高考录取结果查询方式
·
广东省高考成绩查询方式
·
广东省高考英语听说成绩查询方式
·
2015年广东退役士兵报考高职技术院校工
·
2015年度广东省空军招飞复选工作安排
·
2015广东高考网上报名系统入口
·
2015广东高考考试报名和建档工作的通知
|
关于我们
|
联系我们
|
版权申明
|
网站导航
|
琼ICP备12003406号