首页
高考
美术高考
成人高考
考研
自考
中考
会考
专升本
高校
公务员
导游考试
更多
自主招生
|
保送生
|
艺术特长生
|
高水平运动员
|
空乘民航招飞
|
军校国防生
|
空军招飞
|
高考作文
|
大学排行榜
|
中考分数线
|
中考查分
3773考试网
-
高考
-
全国高考
-
贵州高考
- 正文
北京
上海
广东
山东
江苏
浙江
湖北
四川
天津
陕西
湖南
福建
重庆
安徽
辽宁
江西
海南
宁夏
吉林
山西
广西
云南
新疆
黑龙江
青海
甘肃
西藏
河北
贵州
河南
内蒙古
2014贵州高考二本理科征集志愿投档情况(7月25日)
来源:2exam.com
2014-7-25 21:37:14
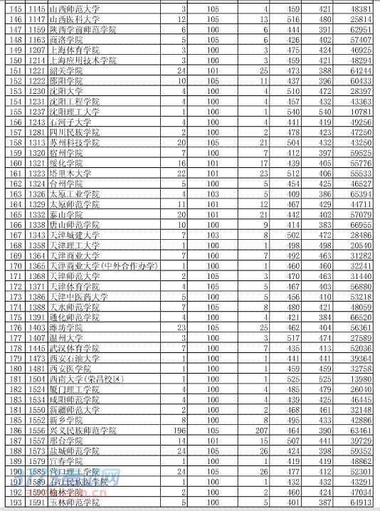
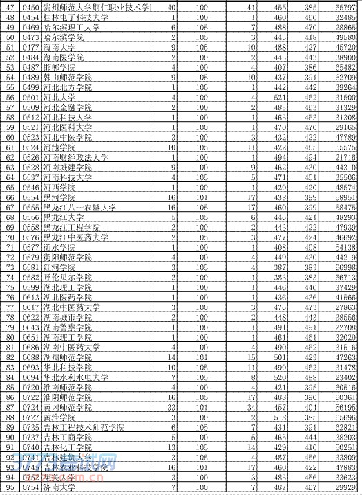
贵州省2014年普通高校招生第二批本科理工类征集志愿投档情况(7月25日)
您可能喜欢的文章
2014年7月25日贵州艺术类二本院校录取分数线情况
贵州省教育厅召开省内高职专科院校高考录取工作会
2014贵州高考征集志愿填报系统入口
2014贵州高考二本24日开始网上补报志愿
2014贵州高考二本院校补报志愿缺额数统计表
2014贵州高考二本院校第一次网上补报志愿说明
2014年7月24日贵州艺术类二本院校录取分数线
2014年7月24日贵州体育类三本院校录取分数线
2014贵州高考中职单报高职考试分数段统计表
2014贵州大学理工类贫困地区专项计划第七次补报志愿
上一个文章:
2014年7月25日贵州艺术类二本院校录取分数线情况
网站版权与免责声明
①由于各方面情况的不断调整与变化,本网所提供的相关信息请以权威部门公布的正式信息为准.
②本网转载的文/图等稿件出于非商业性目的,如转载稿涉及版权及个人隐私等问题,请在两周内邮件fjksw@163.com联系.
最新文章
·
2014贵州高考二本理科征集志愿投档情况
·
2014年7月25日贵州艺术类二本院校录取分
·
贵州省教育厅召开省内高职专科院校高考
·
2014贵州高考征集志愿填报系统入口
·
2014贵州高考二本24日开始网上补报志愿
·
2014贵州高考二本院校补报志愿缺额数统
·
2014贵州高考二本院校第一次网上补报志
·
2014年7月24日贵州艺术类二本院校录取分
·
2014年7月24日贵州体育类三本院校录取分
·
2014贵州高考中职单报高职考试分数段统
·
2014贵州大学理工类贫困地区专项计划第
·
2014贵州高考第二批本科院校网上补报志
·
2014年7月23日贵州高考二本院校录取分数
·
2014年7月23日贵州艺术类二本录取分数线
·
2014年7月22日贵州提前本科院校录取分数
推荐文章
·
2014贵州高考二本院校投档分数线情况(
·
2014贵州高考二本平行志愿投档分数线情
·
2014贵州高考一本理科院校投档分数线(7
·
2014贵州高考录取查询系统入口
·
2014贵州高考英语口试成绩查询入口
·
2014贵州高考录取分数线公布(含艺术体育
·
2013-2014贵州省高考各学科平均分最高分
·
2014贵州高考理工类分数段统计表
·
20144贵州高考文史类分数段统计表
·
2014贵州高考体育艺术类文化投档分数线
·
2014贵州高考一本二本分数线划定
·
2014贵州高考分数线公布:文科一本大涨
·
2014贵州高考志愿填报系统入口进入
·
2014贵州高考成绩查询查分网站快速入口
·
2014贵州高考成绩查询开通进入
|
关于我们
|
联系我们
|
版权申明
|
网站导航
|
琼ICP备12003406号