首页
高考
美术高考
成人高考
考研
自考
中考
会考
专升本
高校
公务员
导游考试
更多
自主招生
|
保送生
|
艺术特长生
|
高水平运动员
|
空乘民航招飞
|
军校国防生
|
空军招飞
|
高考作文
|
大学排行榜
|
中考分数线
|
中考查分
3773考试网
-
高考
-
全国高考
-
贵州高考
- 正文
北京
上海
广东
山东
江苏
浙江
湖北
四川
天津
陕西
湖南
福建
重庆
安徽
辽宁
江西
海南
宁夏
吉林
山西
广西
云南
新疆
黑龙江
青海
甘肃
西藏
河北
贵州
河南
内蒙古
2014贵州高考专科理科第2次征集志愿投档分数线
来源:贵州省招生考试院
2014-8-17 9:24:39
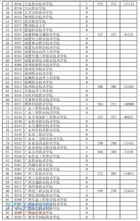
贵州省2014年普通高校招生高职(专科)理工第2次征集志愿投档情况
您可能喜欢的文章
2014贵州高考专科文史第2次征集志愿投档分数线
2014贵州高考专科文科第三次补报志愿缺额计划
2014贵州高考专科理科第三次补报志愿缺额计划
2014贵州高考高职专科院校降分补报志愿缺额数统计表
2014贵州高考中职单报高职院校第四次网上补报志愿说明
2014贵州高考专科院校第三次网上补报志愿说明计划
2014贵州中职单报高职院校第四次补报志愿省内院校降分
2014贵州高考专科院校第三次补报志愿部分院校降分
2014年8月14日贵州艺术类高职专科院校录取情况
2014贵州高考专科理科征集志愿投档分数线(8月14日)
上一个文章:
2014贵州高考专科文史第2次征集志愿投档分数线
网站版权与免责声明
①由于各方面情况的不断调整与变化,本网所提供的相关信息请以权威部门公布的正式信息为准.
②本网转载的文/图等稿件出于非商业性目的,如转载稿涉及版权及个人隐私等问题,请在两周内邮件fjksw@163.com联系.
最新文章
·
2014贵州高考专科理科第2次征集志愿投档
·
2014贵州高考专科文史第2次征集志愿投档
·
2014贵州高考专科文科第三次补报志愿缺
·
2014贵州高考专科理科第三次补报志愿缺
·
2014贵州高考高职专科院校降分补报志愿
·
2014贵州高考中职单报高职院校第四次网
·
2014贵州高考专科院校第三次网上补报志
·
2014贵州中职单报高职院校第四次补报志
·
2014贵州高考专科院校第三次补报志愿部
·
2014年8月14日贵州艺术类高职专科院校录
·
2014贵州高考专科理科征集志愿投档分数
·
2014年8月14日贵州高考专科文科征集志愿
·
2014年8月15日贵州高考专科院校录取分数
·
2014贵州高考中职单报高职院校第三次网
·
2014贵州高考专科文科第二次补报志愿缺
推荐文章
·
2014贵州高考专科文史第2次征集志愿投档
·
2014贵州高考专科理科征集志愿投档分数
·
2014贵州高考专科院校第二次网上补报志
·
2014贵州高考高职专科院校补报志愿入口
·
2014贵州高考高职专科文科院校投档分数
·
2014贵州高考高职专科理科院校投档分数
·
2014贵州高考提前批专科院校网上补报志
·
2014年8月7日贵州高考三本院校录取分数
·
2014贵州高考三本文科投档分数线情况
·
2014贵州高考三本投档分数线情况(理科
·
2014年9月贵州高考英语听力考试报名时间
·
2014年贵州公安专科院校招生面试和体能
·
2014贵州高考艺术类三本院校网上补报志
·
2014贵州高考三本、高职专科分数线划定
·
2014贵州高考三本专科志愿填报系统入口
|
关于我们
|
联系我们
|
版权申明
|
网站导航
|
琼ICP备12003406号