首页
高考
美术高考
成人高考
考研
自考
中考
会考
专升本
高校
公务员
导游考试
更多
自主招生
|
保送生
|
艺术特长生
|
高水平运动员
|
空乘民航招飞
|
军校国防生
|
空军招飞
|
高考作文
|
大学排行榜
|
中考分数线
|
中考查分
3773考试网
-
高考
-
全国高考
-
河北高考
- 正文
北京
上海
广东
山东
江苏
浙江
湖北
四川
天津
陕西
湖南
福建
重庆
安徽
辽宁
江西
海南
宁夏
吉林
山西
广西
云南
新疆
黑龙江
青海
甘肃
西藏
河北
贵州
河南
内蒙古
2015石家庄一模数学试题答案
来源:3773高考
2015-4-8 20:14:30
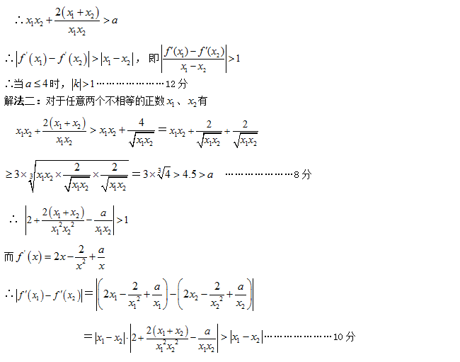
2015年石家庄一模数学答案 2015石家庄一模数学试题答案
您可能喜欢的文章
2015石家庄一模理综生物答案发布
2015石家庄一模理综物理答案发布
2015石家庄一模文综历史答案发布
2015石家庄一模英语试题答案
河北高考优惠加分项目调整政策解读
2015香港9所高校河北自主招生安排公布
2015河北高职单招哪个专业比较好?
2015河北单招考试安排 志愿填报录取时间
2015河北高职单招特刊10日起填报志愿
2015年11所香港院校在河北省招生
上一个文章:
2015石家庄一模理综生物答案发布
网站版权与免责声明
①由于各方面情况的不断调整与变化,本网所提供的相关信息请以权威部门公布的正式信息为准.
②本网转载的文/图等稿件出于非商业性目的,如转载稿涉及版权及个人隐私等问题,请在两周内邮件fjksw@163.com联系.
最新文章
·
2015石家庄一模数学试题答案
·
2015石家庄一模理综生物答案发布
·
2015石家庄一模理综物理答案发布
·
2015石家庄一模文综历史答案发布
·
2015石家庄一模英语试题答案
·
河北高考优惠加分项目调整政策解读
·
2015香港9所高校河北自主招生安排公布
·
2015年11所香港院校在河北省招生
·
2015河北高考录取批次政策方案
·
2015河北高考填报志愿时间批次安排
·
2015河北高考考试时间表
·
2015河北高考招生工作实施办法
·
2015河北高校本科新增专业名单
·
2015年起河北取消高考体育加分项目
·
2015河北高考体育特长生加5分专项测试时
推荐文章
·
2015石家庄一模文综历史答案发布
·
2015石家庄一模英语试题答案
·
2015河北高考考试时间表
·
2015河北高考招生工作实施办法
·
2015河北体育专业统考考试时间4月8日开
·
2015石家庄质检二分数线及等效分
·
2015石家庄外国语学校具有保送生资格考
·
2015河北高考保送生招生办理程序确定
·
2015河北高考报名人数40.48万人对口高考
·
2015河北高考网上报名系统入口
·
2015河北对口招生报名时间网站系统安排
·
2015年河北省普通高校对口招生简章
·
2015河北高考报名网站时间安排
·
2015河北高考报名时间11月25日开始
·
2014河北高考专科批三志愿征集计划及说
|
关于我们
|
联系我们
|
版权申明
|
网站导航
|
琼ICP备12003406号