首页
高考
美术高考
成人高考
考研
自考
中考
会考
专升本
高校
公务员
导游考试
更多
自主招生
|
保送生
|
艺术特长生
|
高水平运动员
|
空乘民航招飞
|
军校国防生
|
空军招飞
|
高考作文
|
大学排行榜
|
中考分数线
|
中考查分
3773考试网
-
高考
-
全国高考
-
河北高考
- 正文
北京
上海
广东
山东
江苏
浙江
湖北
四川
天津
陕西
湖南
福建
重庆
安徽
辽宁
江西
海南
宁夏
吉林
山西
广西
云南
新疆
黑龙江
青海
甘肃
西藏
河北
贵州
河南
内蒙古
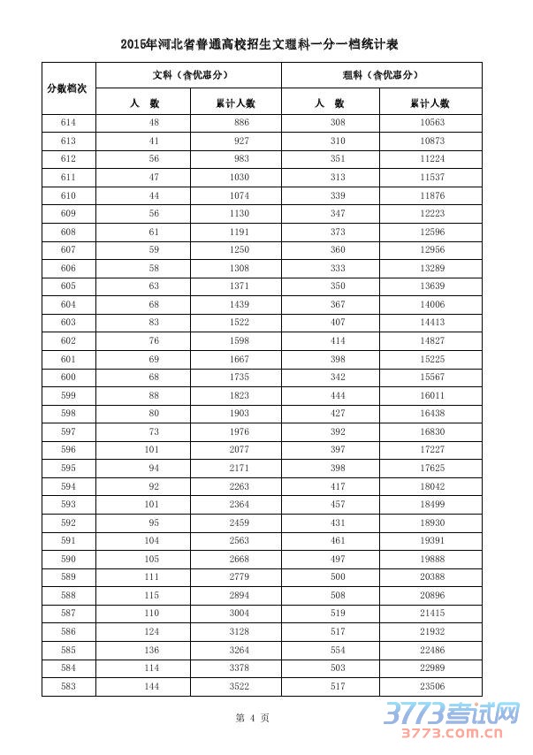
2015河北高考一分一档表(文理科含加分)
来源:河北教育考试院
2015-6-23 17:30:24
从河北教育考试院获悉,2015年河北省普通高校招生文理科一分一档统计表已公布,具体如下:
1
2
3
4
5
6
7
8
9
下一页
您可能喜欢的文章
2015河北高考文科状元石家庄二中张浩成682分
2015河北高考理科状元唐山一中728分
2015河北高考成绩查询系统快速入口
2015河北高考填报志愿和录取工作主要时间节
2015河北高考招生政策主要变化
2015河北高考招生计划375113人本科计划1925
2015河北对口升学录取分数线公布
2015河北高考体育类本专科分数线公布
2015河北高考艺术联考类分数线
2015河北高考艺术校考类分数线公布
上一个文章:
2015河北高考成绩查询系统快速入口
网站版权与免责声明
①由于各方面情况的不断调整与变化,本网所提供的相关信息请以权威部门公布的正式信息为准.
②本网转载的文/图等稿件出于非商业性目的,如转载稿涉及版权及个人隐私等问题,请在两周内邮件fjksw@163.com联系.
最新文章
·
2015河北高考一分一档表(文理科含加分)
·
2015河北高考成绩查询系统快速入口
·
2015河北高考填报志愿和录取工作主要时
·
2015河北高考招生政策主要变化
·
2015河北高考招生计划375113人本科计划
·
2015河北高考各批次分数线和录取相关工
·
2015河北高考录取分数线公布
·
2015河北高考分数线一本文548分理544分
·
2015河北高考24日起开始填报志愿
·
2015河北高考成绩查询网站12时开通
·
2015河北高考三个军检站调整为两个军检
·
2015河北高考分数线公布
·
2015河北省教育考试院网站高考成绩查询
·
河北省内十所知名高校招办主任指导考生
·
2015年河北省具有招生资格的高校名单
推荐文章
·
2015河北高考一分一档表(文理科含加分)
·
2015河北高考成绩查询系统快速入口
·
2015河北高考各批次分数线和录取相关工
·
2015河北高考录取分数线公布
·
2015河北高考分数线公布
·
2015河北高考成绩查询查分网站入口
·
2015河北高考填报志愿须知问答
·
2015河北高考网上志愿填报系统入口
·
2015河北高考军校武警国防生志愿填报系
·
2015河北高考考生网上填报志愿操作演示
·
2015河北高考成绩查询时间及网站入口
·
2015河北高考志愿填报时间确定
·
2015河北高考数学理科试题及答案发布
·
2015河北高考数学文科试题及答案发布
·
2015河北高考语文试题及答案发布
|
关于我们
|
联系我们
|
版权申明
|
网站导航
|
琼ICP备12003406号