首页
高考
美术高考
成人高考
考研
自考
中考
会考
专升本
高校
公务员
导游考试
更多
自主招生
|
保送生
|
艺术特长生
|
高水平运动员
|
空乘民航招飞
|
军校国防生
|
空军招飞
|
高考作文
|
大学排行榜
|
中考分数线
|
中考查分
3773考试网
-
高考
-
全国高考
-
河北高考
- 正文
北京
上海
广东
山东
江苏
浙江
湖北
四川
天津
陕西
湖南
福建
重庆
安徽
辽宁
江西
海南
宁夏
吉林
山西
广西
云南
新疆
黑龙江
青海
甘肃
西藏
河北
贵州
河南
内蒙古
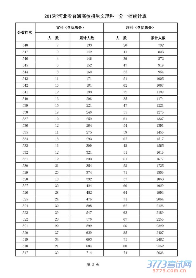
2015河北高考文理科一分一档统计表
来源:燕赵都市网
2015-7-28 9:22:08
截止到25日17时,本科二批一志愿共录取考生53417人,其中文史类录取14786人,理工类38631人。26日12时至28日9时,将进行本二征集志愿和本三一志愿填报。
(
截止到本科二批一志愿录取结束后生源情况统计)
您可能喜欢的文章
中国高等教育学历认证工作说明-河北省大学生
2015河北高考文理科一分一档表(二本录取后)
2015河北高考美术一分一档表(二本录取后)
2015河北高考本二285所院校征集计划1661个
2015河北高考对口本科批二志愿征集计划
2015河北高考二本二志愿征集计划(本科二批
2015河北高考一分一档统计表(二本录取结束后
2015河北高考二本和对口升学本科征集填报志
2015河北高考二本和对口本科批二志愿征集计
2015河北高招二本和对口本科批二志愿征集26
上一个文章:
中国高等教育学历认证工作说明-河北省大学生就业创业协会
网站版权与免责声明
①由于各方面情况的不断调整与变化,本网所提供的相关信息请以权威部门公布的正式信息为准.
②本网转载的文/图等稿件出于非商业性目的,如转载稿涉及版权及个人隐私等问题,请在两周内邮件fjksw@163.com联系.
最新文章
·
2015河北高考文理科一分一档统计表
·
中国高等教育学历认证工作说明-河北省大
·
2015河北高考文理科一分一档表(二本录取
·
2015河北高考美术一分一档表(二本录取后
·
2015河北高考本二285所院校征集计划166
·
2015河北高考二本二志愿征集计划(本科
·
2015河北高考一分一档统计表(二本录取结
·
2015河北高考二本和对口升学本科征集填
·
2015河北高考二本和对口本科批二志愿征
·
2015河北高招二本和对口本科批二志愿征
·
探访2015河北高招录取现场 填报志愿没有
·
社会代表参观2015年河北高考录取现场
·
2015河北高招97所本二院校投档线超过本
·
2015河北高考二本批投档线公布
·
2015河北高考一本录取率 近两年各省市一
推荐文章
·
2015河北高考文理科一分一档统计表
·
2015河北高考一分一档统计表(二本录取结
·
2015河北高考二本投档分数线(理科院校)
·
2015河北高考二本投档分数线(文科院校)
·
2015河北高考征集志愿填报系统入口
·
2015河北高考本科一批平行投档分数线公
·
2015河北高考一本投档分数线(理科院校)
·
2015河北高考一本院校投档分数线(理科)
·
2015河北高考一本文科院校投档分数线
·
2015河北高考网上填报征集志愿系统入口
·
2015河北高考录取查询系统开通
·
2015河北高考填报志愿时间录取时间安排
·
2015河北高考录取结果查询入口
·
2015河北高考志愿填报入口
·
2015河北高考填报志愿系统入口开通
|
关于我们
|
联系我们
|
版权申明
|
网站导航
|
琼ICP备12003406号