首页
高考
美术高考
成人高考
考研
自考
中考
会考
专升本
高校
公务员
导游考试
更多
自主招生
|
保送生
|
艺术特长生
|
高水平运动员
|
空乘民航招飞
|
军校国防生
|
空军招飞
|
高考作文
|
大学排行榜
|
中考分数线
|
中考查分
3773考试网
-
高考
-
全国高考
-
湖北高考
- 正文
北京
上海
广东
山东
江苏
浙江
湖北
四川
天津
陕西
湖南
福建
重庆
安徽
辽宁
江西
海南
宁夏
吉林
山西
广西
云南
新疆
黑龙江
青海
甘肃
西藏
河北
贵州
河南
内蒙古
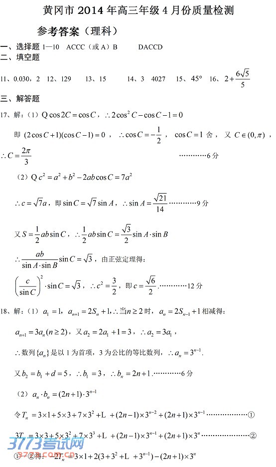
2014黄冈四月质检数学理科答案发布
来源:2exam.com
2014-4-23 18:21:53
2014黄冈四月质检考试是对高三考生一次重要的诊断性摸底考试,旨在了解学生目前所具有的实际水平。
本次考试是2014年高考前非常重要的一次模拟考试,它结合了2014年高考大纲的最新规定的内容与要求,请广大考生引起重视。
1
2
下一页
您可能喜欢的文章
2014黄冈四月质检数学文科答案发布
2014黄冈高三四月质检语文答案发布
2014黄冈高三四月质检英语答案发布
2014湖北艺术特长生入围标准高水平运动员入围标准通知
2014武汉高三四月调考数学文科B卷答案
2014武汉四月调考数学文科A卷试题及答案
2014武汉四月调考数学理科B卷答案
2014武汉高三四月调考数学理科A卷答案
2014武汉高三四月调考语文B卷试题答案
2014武汉四月调考语文试题答案
上一个文章:
2014黄冈四月质检数学文科答案发布
网站版权与免责声明
①由于各方面情况的不断调整与变化,本网所提供的相关信息请以权威部门公布的正式信息为准.
②本网转载的文/图等稿件出于非商业性目的,如转载稿涉及版权及个人隐私等问题,请在两周内邮件fjksw@163.com联系.
最新文章
·
2014黄冈四月质检数学理科答案发布
·
2014黄冈四月质检数学文科答案发布
·
2014黄冈高三四月质检语文答案发布
·
2014黄冈高三四月质检英语答案发布
·
2014湖北艺术特长生入围标准高水平运动
·
2014武汉高三四月调考数学文科B卷答案
·
2014武汉四月调考数学文科A卷试题及答案
·
2014武汉四月调考数学理科B卷答案
·
2014武汉高三四月调考数学理科A卷答案
·
2014武汉高三四月调考语文B卷试题答案
·
2014武汉四月调考语文试题答案
·
2014年武汉高三四月调考语文试题分析
·
军校、国防生、直招士官招生政策问答
·
2014年湖北高中生中招收定向培养直招士
·
2014湖北恩施市高考申请加分投档考生信
推荐文章
·
2014湖北艺术特长生入围标准高水平运动
·
2014湖北高考向培养直招士官须知
·
2014湖北高考体育专业素质测试考生须知
·
2014湖北高考人数366194人文理考生3103
·
2014武汉高三二月调考预估分数线公布
·
香港院校2014年内地招生有关信息一览表
·
2014武汉高一调考物理试题答案
·
2014湖北高考报名第二阶段时间安排
·
2014年湖北省民航招收高中飞行学员报名
·
2014湖北高考优录材料和申报贫困地区专
·
2014年湖北高考加分参考项目
·
2014年湖北高考报名信息管理系统入口
·
2014年湖北武汉市高考报名须知
·
湖北省2013年提前批艺术类高职高专补录
·
湖北省2013年提前批体育类高职高专补录
|
关于我们
|
联系我们
|
版权申明
|
网站导航
|
琼ICP备12003406号