首页
高考
美术高考
成人高考
考研
自考
中考
会考
专升本
高校
公务员
导游考试
更多
自主招生
|
保送生
|
艺术特长生
|
高水平运动员
|
空乘民航招飞
|
军校国防生
|
空军招飞
|
高考作文
|
大学排行榜
|
中考分数线
|
中考查分
3773考试网
-
高考
-
全国高考
-
湖北高考
- 正文
北京
上海
广东
山东
江苏
浙江
湖北
四川
天津
陕西
湖南
福建
重庆
安徽
辽宁
江西
海南
宁夏
吉林
山西
广西
云南
新疆
黑龙江
青海
甘肃
西藏
河北
贵州
河南
内蒙古
2014湖北专科二招收普通高中生补录院校及计划
来源:2exam.com
2014-9-26 17:28:36
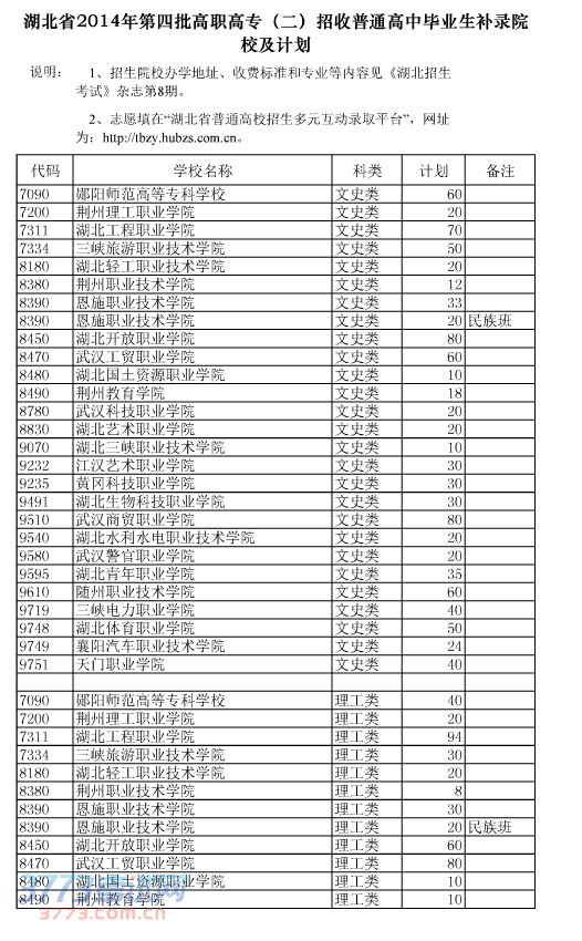
湖北省2014年第四批高职高专(二)招收普通高中毕业生补录院校及计划
您可能喜欢的文章
湖北省2014年第四批高职高专二招收参加高职统考中职生补录院校及计划
2014湖北高考专科补录填报志愿系统入口
2014湖北高考招收参加高职统考的中职生补录院校及计划
湖北省2014年提前批艺术类专科补录院校及计划
2014湖北高考提前批体育类专科补录院校及计划
湖北省2014年技能高考的中职生专科补录院校及计划
2014湖北高考专科补录院校及计划(招生高中生)
湖北省普通高校招生多元互动录取平台考生操作图解
2014湖北高考专科补录征集志愿公告
2014湖北高考补录计划1586个征集志愿开始
上一个文章:
湖北省2014年第四批高职高专二招收参加高职统考中职生补录院校及计划
网站版权与免责声明
①由于各方面情况的不断调整与变化,本网所提供的相关信息请以权威部门公布的正式信息为准.
②本网转载的文/图等稿件出于非商业性目的,如转载稿涉及版权及个人隐私等问题,请在两周内邮件fjksw@163.com联系.
最新文章
·
2014湖北专科二招收普通高中生补录院校
·
湖北省2014年第四批高职高专二招收参加
·
2015年湖南湖北省空军招飞初选日程安排
·
2014湖北高考专科补录填报志愿系统入口
·
2014湖北高考招收参加高职统考的中职生
·
湖北省2014年提前批艺术类专科补录院校
·
2014湖北高考提前批体育类专科补录院校
·
湖北省2014年技能高考的中职生专科补录
·
2014湖北高考专科补录院校及计划(招生高
·
湖北省普通高校招生多元互动录取平台考
·
2014湖北高考专科补录征集志愿公告
·
2014湖北高考补录计划1586个征集志愿开
·
9月16日--9月29日湖北省招办咨询接待联
·
湖北省招办将注销高校录取未报到新生录
·
2014湖北高考专科补录时间安排通知
推荐文章
·
2014湖北高考专科补录填报志愿系统入口
·
2014湖北高考专科补录征集志愿公告
·
2014湖北高考第四批高职高专(二)征集
·
2014湖北高考第四批专科二录取院校投档
·
2014湖北高考第四批高职高专一征集志愿
·
2014湖北高考第四批高职高专一录取开始
·
2014湖北高职统考技能高考专科院校投档
·
2014湖北高考专科院校第一志愿录取投档
·
2014湖北高考提前批专科征集志愿院校及
·
2014湖北高考录取结果查询入口
·
2014湖北高考第三批本科平行志愿投档分
·
2014湖北高考三本第三批本科投档分数线
·
2014湖北提前批高职高专艺术类院校第一
·
2014湖北高考艺术本科三征集志愿投档分
·
2014湖北高考二本录取查询系统入口
|
关于我们
|
联系我们
|
版权申明
|
网站导航
|
琼ICP备12003406号