导航: 招生考试网 >> 高考 >> 全国高考 >> 新疆高考 >> 文章正文
 
2009年乌鲁木齐高三一模数学试卷答案及评分标准
整理自:招生考试网 2009-1-23 14:17:26

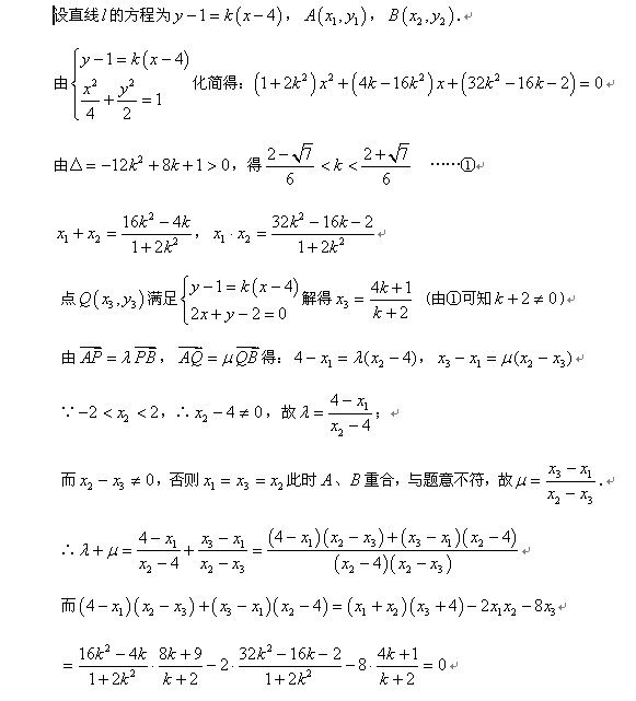
乌鲁木齐地区2009年高三年级第一次诊断性测验

文理科数学试题参考答案及评分标准

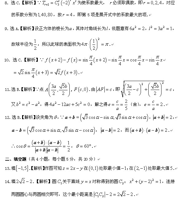
一、选择题(共12小题,每小题5分,共60分)

题 号

1

2

3

4

5

6

7

8

9

10

11

12

选 项

B

B

AC

D

D

CA

B

C

A

C

B

B





















  • 上一个文章:

  • 下一个文章: 没有了
  • 网站版权与免责声明  
    由于各方面情况的不断调整与变化,本网所提供的相关信息请以权威部门公布的正式信息为准.
    ②本网转载的文/图等稿件出于非商业性目的,如转载稿涉及版权等问题,请在两周内来电联系.
      资料库
    ·教育部2009年学科评估高校排名结果
    ·2003~2009年广西区大学前4名排行榜
    ·2003~2009广东省大学前10名排行榜
    ·2003~2009福建省大学前4名排行榜
    ·2003~2009年北京市大学前20名排行榜
    ·2003~2009年安徽省大学前8名排行榜
    ·2003~2009甘肃省大学前3名
    ·2003~2009贵州省大学前3名
    ·2003~2009河北省大学前8名
    ·2003~2009河南省大学前8名
    ·2003~2008黑龙江省大学前8名排行榜
    ·2003~2009年湖北省大学前10名排行榜
    ·2003~2009年山西省大学排行前5名
    ·2003~2009浙江省大学前7名
    ·2003~2008湖南省大学前6名
    ·2003~2009吉林省大学前8名
    ·2003~2009江苏省大学前13名
    ·2003~2009江西省大学前5名
    ·2003~2009辽宁省大学前12名
    ·2003~2009内蒙古区大学前3名
    ·2003~2009山东省大学前12名
    ·2003~2009陕西省大学前10名
    ·2003~2009上海市大学前10名
    ·2003~2009四川省大学前8名
    ·2003~2009天津市大学前6名
    ·2003~2009新疆区大学前3名
    ·2003~2009云南省大学前4名
    ·2003~2009重庆市大学前5名
    ·2009年中国民办大学排行榜前20强
    ·2009年中国一般大学排行榜前30强
    ·2009年中国重点大学排行榜
    ·2009年中国一流大学名单榜单对比
    ·本科专业目录
    ·2009年有资格进行自主招生的高校名单
    ·008年度同意撤销的高等学校本科专业名单
    ·008年度需评估的高等学校医学类专科专业名
    ·008年度经教育部审批不同意设置的高等学校
    ·008年度经教育部审批同意设置的高等学校医
    ·008年度经教育部审批不同意设置的高等学校
    ·008年度经教育部备案或审批同意设置的高等
    ·008年度经教育部备案或审批同意设置的高等
    ·008年度经教育部备案或审批同意设置的高等
    ·008年度经教育部备案或审批同意设置的高等
    ·008年度经教育部备案或审批同意设置的高等
    ·008年度经教育部备案或审批同意设置的高等
    ·008年度经教育部备案或审批同意设置的高等
    ·008年度经教育部备案或审批同意设置的高等
    ·008年度经教育部备案或审批同意设置的高等
    ·008年度经教育部备案或审批同意设置的高等
    ·008年度经教育部备案或审批同意设置的高等
    ·008年度经教育部备案或审批同意设置的高等
    ·008年度经教育部备案或审批同意设置的高等
    ·008年度经教育部备案或审批同意设置的高等
    ·008年度经教育部备案或审批同意设置的高等
    ·008年度经教育部备案或审批同意设置的高等
    ·008年度经教育部备案或审批同意设置的高等
    ·008年度经教育部备案或审批同意设置的高等
    ·008年度经教育部备案或审批同意设置的高等
    ·008年度经教育部备案或审批同意设置的高等
    ·008年度经教育部备案或审批同意设置的高等
    ·008年度经教育部备案或审批同意设置的高等
    ·008年度经教育部备案或审批同意设置的高等
    ·008年度经教育部备案或审批同意设置的高等
    ·008年度经教育部备案或审批同意设置的高等
    ·008年度经教育部备案或审批同意设置的高等
    ·008年度经教育部备案或审批同意设置的高等
    ·008年度经教育部备案或审批同意设置的高等
    ·008年度经教育部备案或审批同意设置的高等
    ·008年度经教育部备案或审批同意设置的高等
    ·008年度经教育部备案或审批同意设置的高等
    ·008年度经教育部备案或审批同意设置的高等
    ·008年度教育部不同意增设的第二学士学位专
    ·008年度教育部同意增设的第二学士学位专业
    ·2008年中国高校代表性富豪校友名单
    ·2008年中国富豪就读高校地区分布情况
    ·2008中国高校富豪校友排行榜
    ·1999-2008年中国造富大学排行榜
    ·2009年中国研究型大学创新环境排名名单
    ·中国37所研究型大学名单及地域分布
    ·2009年中国一流大学简介